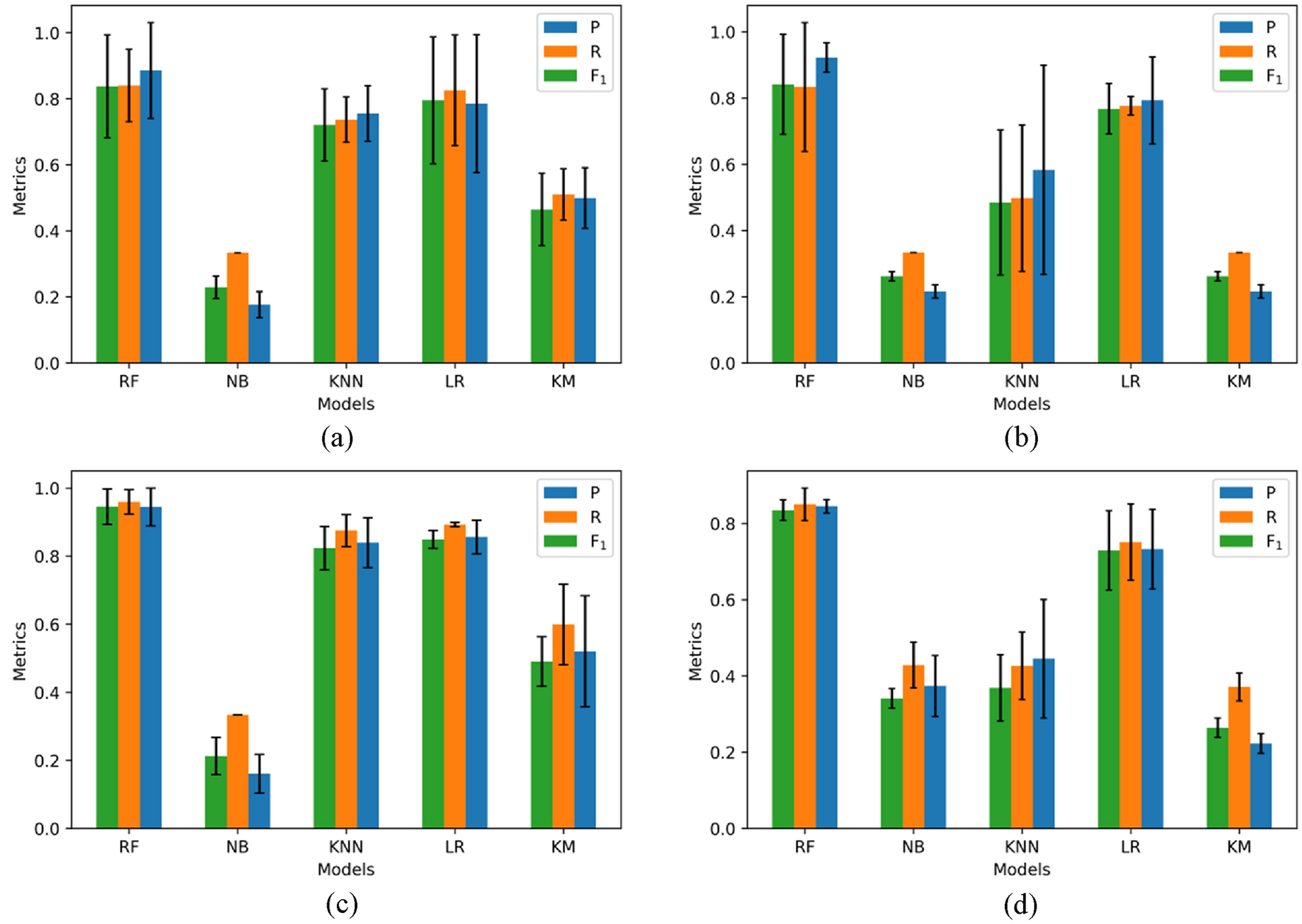
Figure 9
From: Machine learning-enabled regional multi-hazards risk assessment considering social vulnerability

The performance of different machine learning models in different datasets. (a) Flooding; (b) Wildfires; (c) Seismic; (d) Social vulnerability.