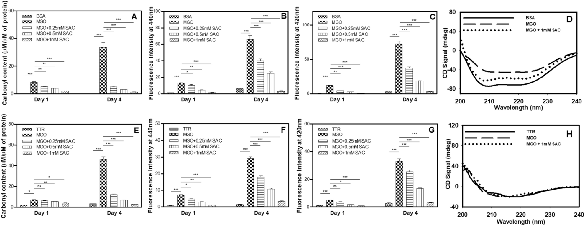
Figure 6

Effect of SAC in preventing the MGO-induced glycation of BSA and TTR. Total carbonyl content (A) AGE specific fluorescence (B) and di-tyrosine fluorescence spectra (C), far-UV CD spectra (D) of MGO-modified BSA. Total carbonyl content (E) AGE specific fluorescence (F) and di-tyrosine fluorescence spectra (G), far-UV CD spectra (H) of MGO-modified TTR.