Figure 5
From: Study on the influence of urban tree canopy on thermal environment in Luoping County

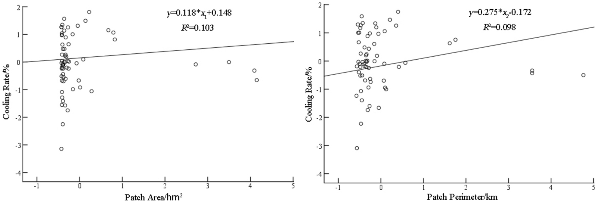
Linear regression analysis of tree canopy patch area, perimeter and cooling rate.
From: Study on the influence of urban tree canopy on thermal environment in Luoping County

Linear regression analysis of tree canopy patch area, perimeter and cooling rate.