Figure 2

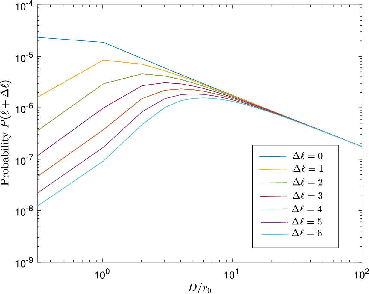
This plot illustrates the probability of receiving adjacent OAM states (Transmittance), \(\eta _{\text {turb}}\) against the ratio of the aperture diameter D to the Fried parameter \(r_{0}\).

This plot illustrates the probability of receiving adjacent OAM states (Transmittance), \(\eta _{\text {turb}}\) against the ratio of the aperture diameter D to the Fried parameter \(r_{0}\).