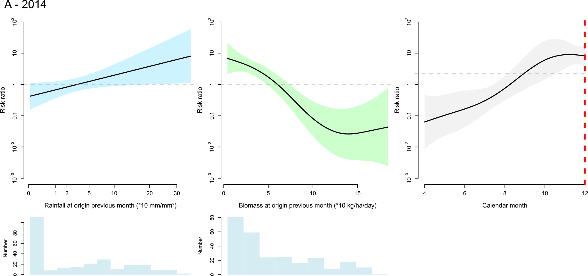
Figure 4


Graphical representation of the fitted thin plate spline functions of the effect of the selected variables on the likelihood of bovine herd movement along a defined inter-department link on a defined month in 2014 (A) and 2019 (B). Black lines are spline functions linking the tested variable to the the risk ratio of herd movement, and blue bands correspond to the 95% confidence interval. Blue histograms at the bottom of each graph represent the distribution of the selected variable (the y axis is the count of observations). On the graph displaying the effect of calendar month, the dashed red vertical line corresponds to the Magal de Touba celebration.