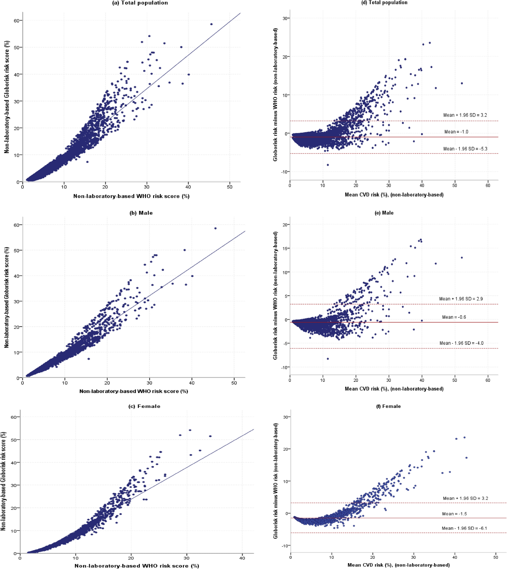
Figure 3

Scatter plots and Bland–Altman plots of individual-level risk of non-laboratory-based WHO and Globorisk cardiovascular disease risk scores models. (a) scatter plot for total population, (b) scatter plot for males, (c) scatter plot for females, (d) Bland–Altman plot for total population, (e) Bland–Altman plot for males, (f) Bland–Altman plot for females.