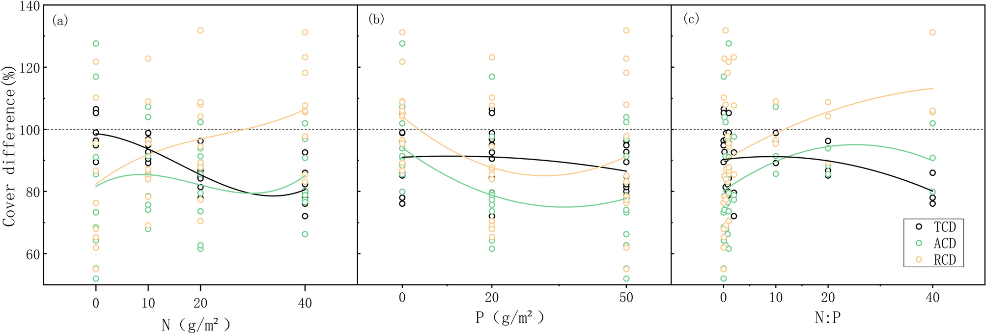
Figure 1

Variation of total community cover difference (TCD), absolute cover difference (ACD) and relative cover difference (RCD) of C. filispica with nitrogen (N) fertilization, phosphorus (P) fertilization and N-P fertilization ratio (N:P). The amount of N and P fertilizer applied to control group was recorded as 1 for the calculation of N:P fertilization ratio.