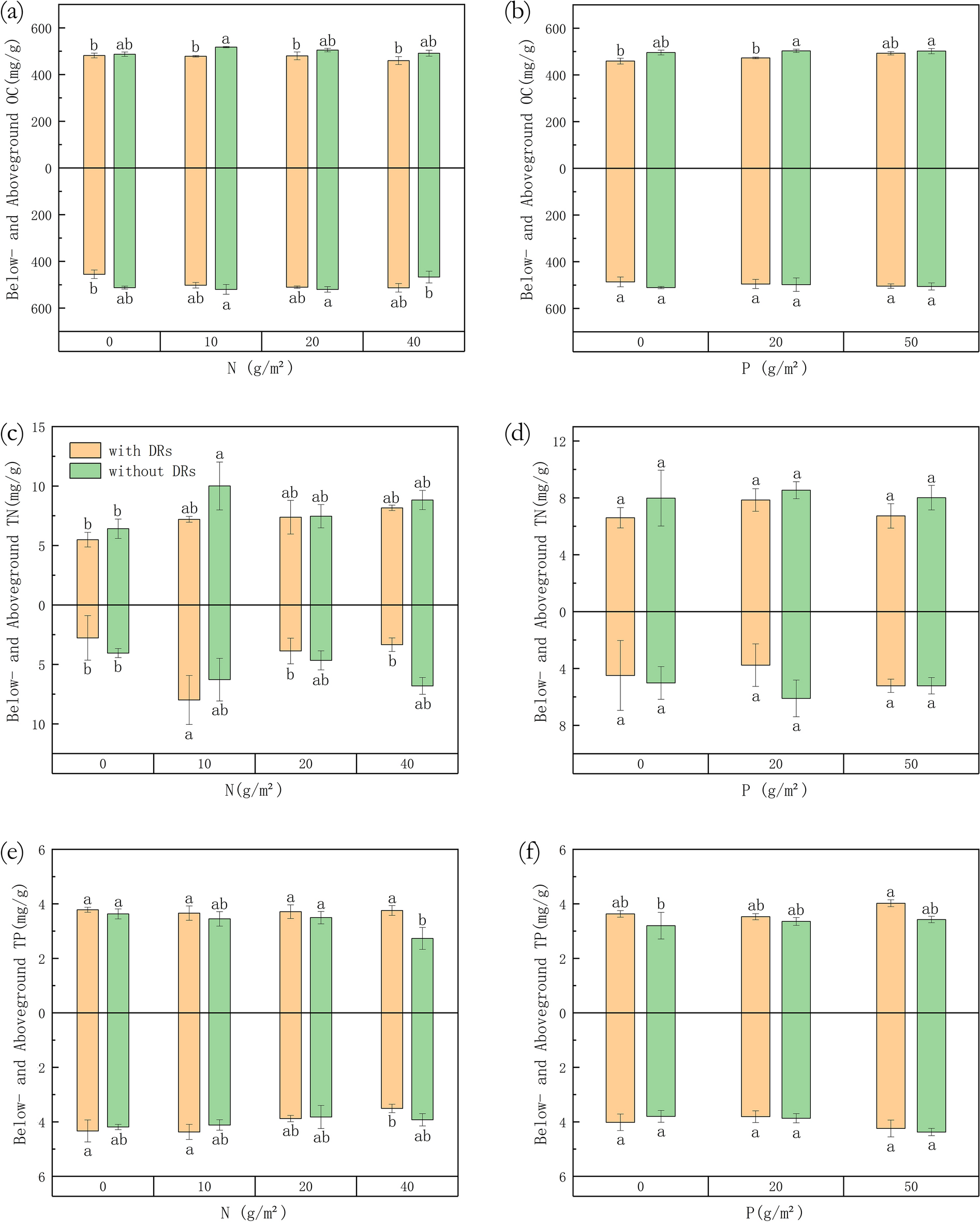
Figure 5

Differences among fertilization treatments in (a) below-/aboveground Organic carbon (OC) concentration with N fertilization; (b) below-/aboveground Organic carbon (OC) concentration with P fertilization; (c) below-/aboveground Total Nitrogen (TN) concentration with N fertilization; (d) below-/aboveground Total Nitrogen (TN) concentration with P fertilization; (e) below-/aboveground Total Phosphorus (TP) concentration with N fertilization; (f) below-/aboveground Total Phosphorus (TP) concentration with P fertilization. Bars represent means ± SE. Different letters indicate a significant difference among treatments (p < 0.05) separately for above- and belowground.