Figure 9

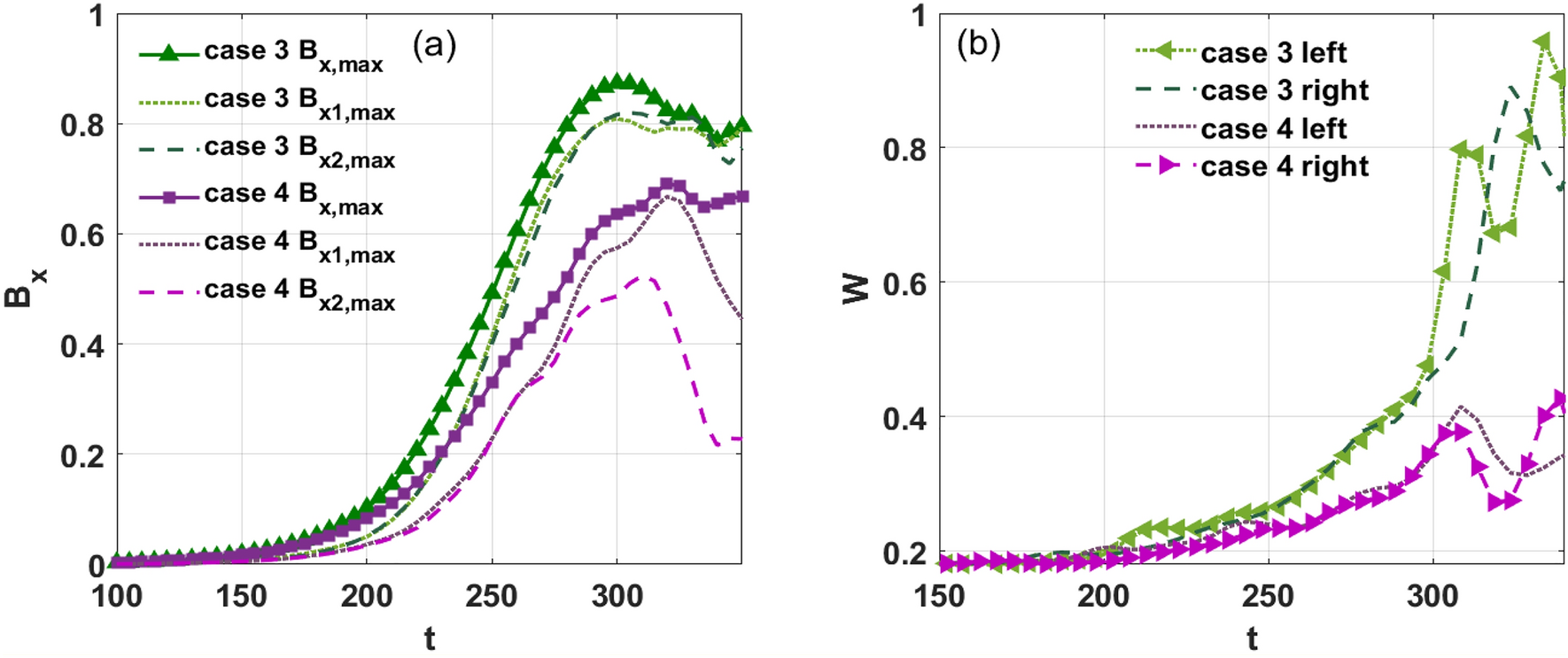
(Color online) (a) Temporal evolution of the maximum value of magnetic perturbation with shear flow in cases 3 and 4. (b) The width of the islands as a function of time.

(Color online) (a) Temporal evolution of the maximum value of magnetic perturbation with shear flow in cases 3 and 4. (b) The width of the islands as a function of time.