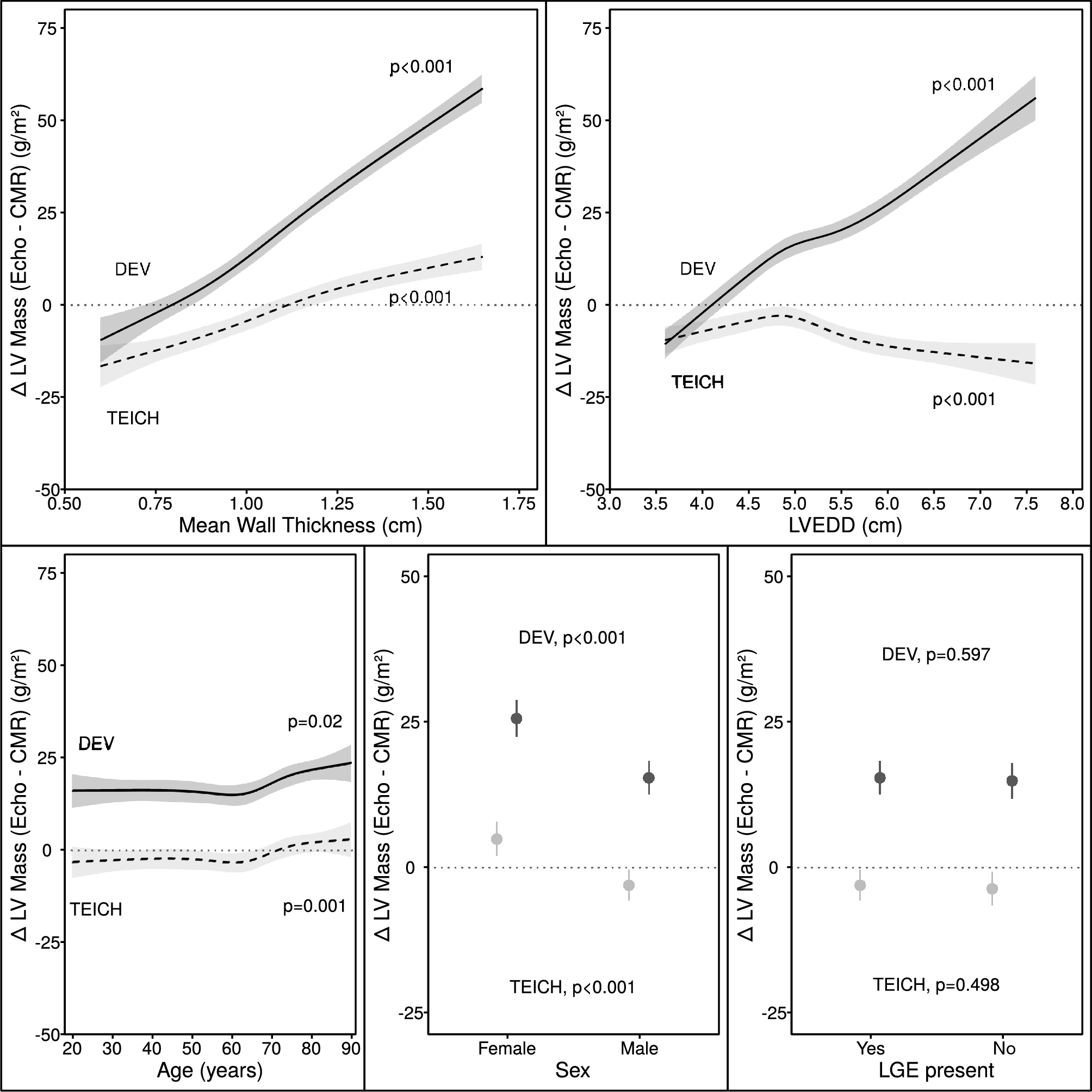
Figure 4

Multivariable regression fits of the inter-method bias of LV mass index (g/m2) as the dependent variable for the DEV (solid) and TEICH (dashed) method vs. CMR imaging as the reference method for mean wall thickness, LV EDD, age and sex as the independent variables in the derivation cohort (n = 1276).