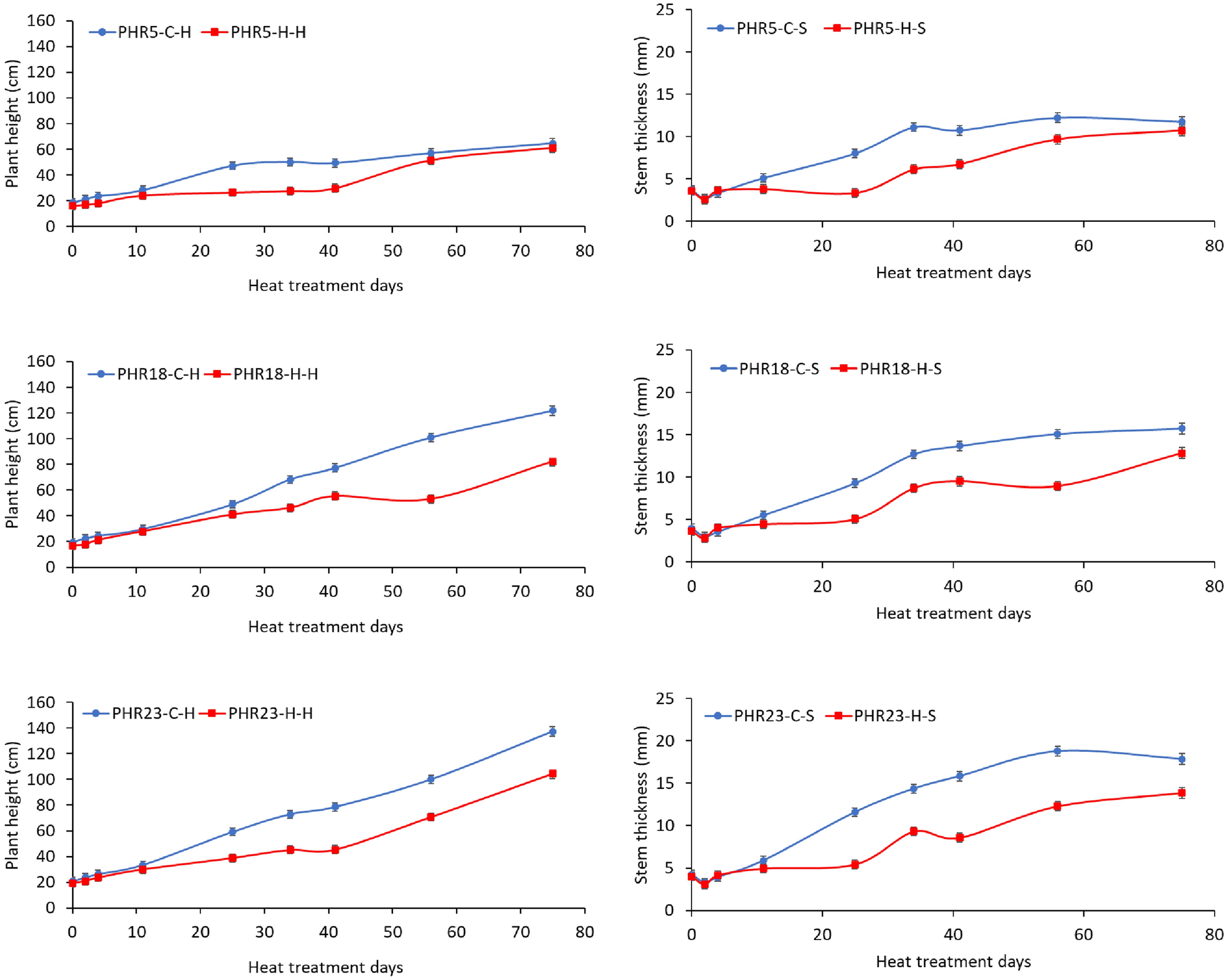
Figure 2

Plant heights and stem thickness of three hot pepper (Capsicum annuum L.) accessions, including PHR5, PHR18, and PHR23, treated by heat stress for 75 days. The blue line indicates hot pepper grown under control condition, while the red line indicates the accession grown in heat stress condition. The black bars indicate standard error.