Figure 2
From: Time delays shape the eco-evolutionary dynamics of cooperation

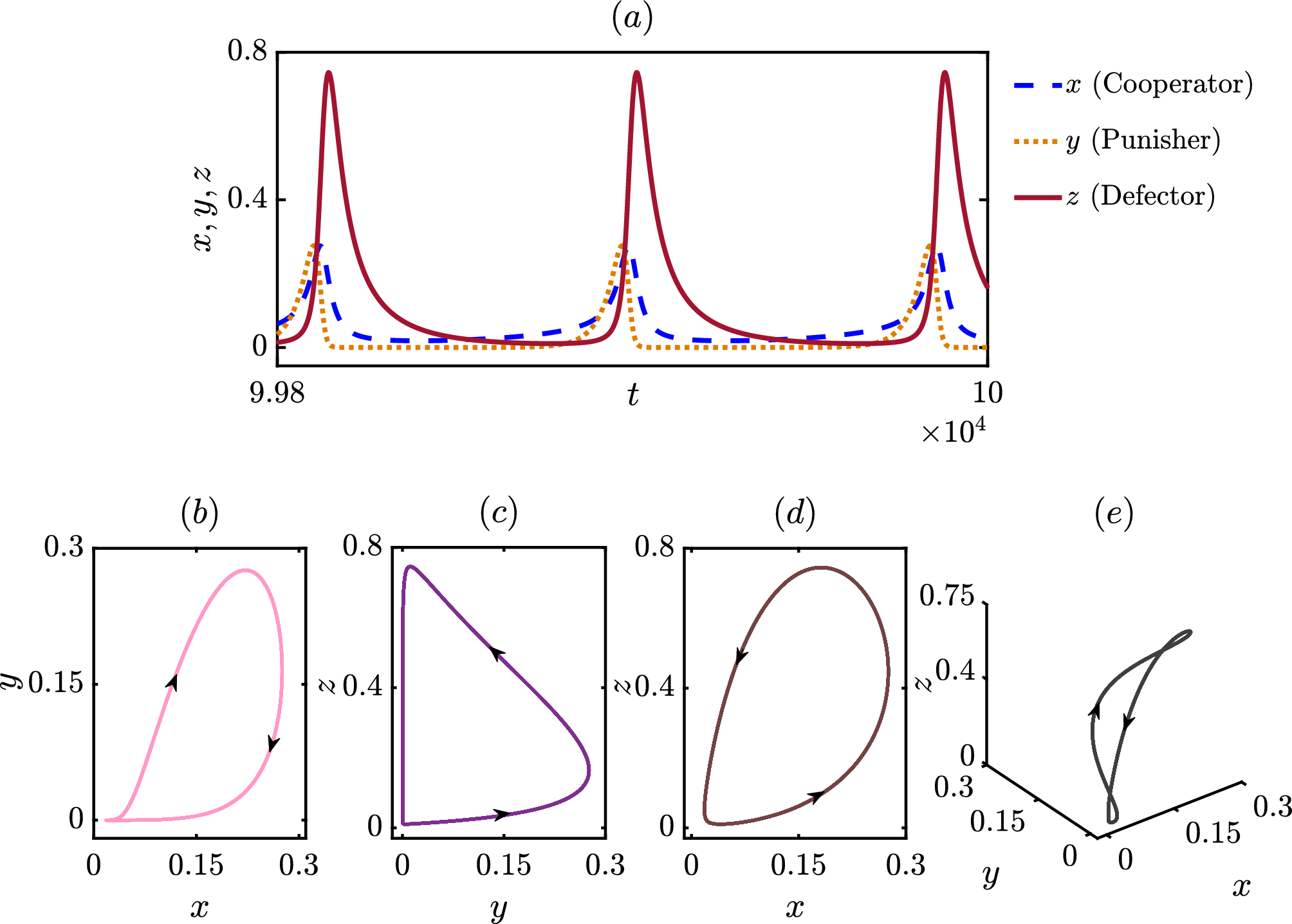
Cyclic dominance among three competing strategies: (a) Temporal dynamics of the oscillatory coexistence of all three strategies exhibiting the emergence of cyclic dominance among the species that allows each speices to dominate others. The following parameter values are chosen for numerical simulation: \(\xi = 0.5\), \(\beta = 2.5\), \(\delta = 1.39\), \(\sigma _{1} = 0.52\), \(\sigma _{2} = 0.72\), \(\sigma _{3} = 0.41\) and, \(\tau = 0.019\). Higher value of the temptation parameter \(\beta\) facilitates the defectors although the punishment parameter \(\delta\) helps controlling their population by penalizing them. On the other hand cooperators get more benefit from the altruistic free space compared to the defectors due to our chosen parameter values, which helps in maintaining the coexistence of all three strategies. Phase portraits of the periodic attractor along with the direction of the flow in (b–d) two dimensions and in (e) three dimension. The initial values for the state variables associated with the player strategies are considered to be, \((x_0,y_0,z_0) = (0.3,0.3,0.3)\) and those for the delayed variables, are considered to be, \((x_\tau (0),y_\tau (0),z_\tau (0)) = (0.25,0.25,0.25)\).