Figure 9
From: Time delays shape the eco-evolutionary dynamics of cooperation

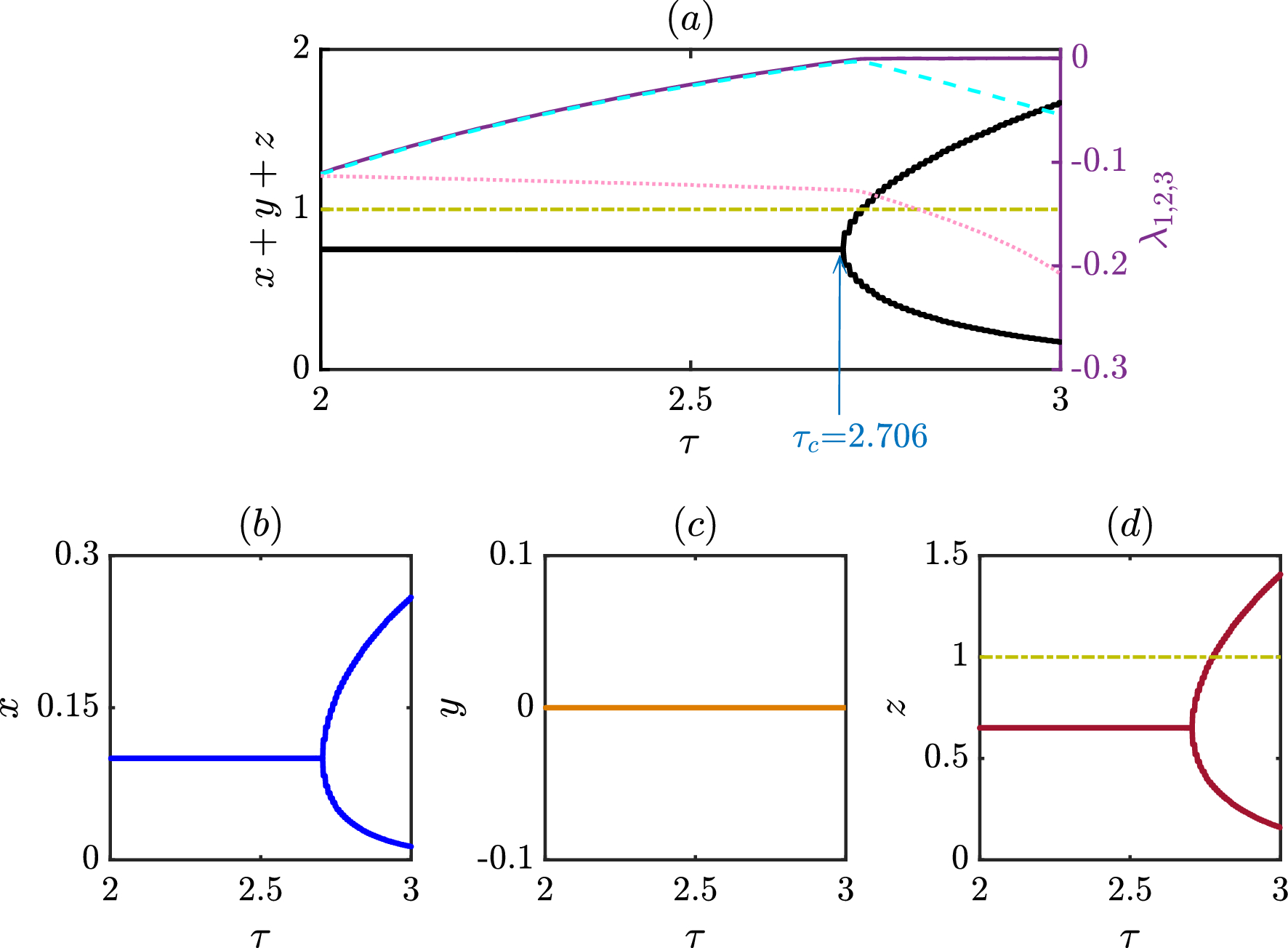
Verification of the analytically obtained value of the critical time delay \(\tau _c\): (a) Demonstrates the bifurcation diagram and three Lyapunov exponents of the delay model by varying the delay parameter \(\tau\) in the range [2, 3]. We use the following parameter values: \(\xi = 0.40\), \(\beta = 1.50\), \(\delta = 0.56\), \(\sigma _{1} = 1.20\), \(\sigma _{2} = 1.70\), and \(\sigma _{3} = 1.0\). For the chosen parameter values the system undergoes a Hopf bifurcation at the critical point \(\tau _c = 2.706\), that matches perfectly with the analytically derived \(\tau\) critical value. The largest Lyapunov exponent \(\lambda _1\) shown with solid purple line becomes zero at the bifurcation point and remains unchanged beyond the critical point. The second largest Lyapunov exponent \(\lambda _2\) (cyan dashed line) touches zero at the bifurcation point and remains negative for other values of \(\tau\), and the third exponent \(\lambda _3\) (pink dotted line) remains negative throughout the range of \(\tau\). Beyond a certain value of \(\tau\) the system exhibits overcrowded solution as the total population \(x+y+z\) exceeds the maximum value 1. A green horizontal dash dotted line is plotted to mark the boundary of the overcrowded solution from that of the bounded solution. (b–d) Showcase the effect of delay \(\tau\) on each of the population variables. Punishers are unable to survive for the chosen parameter values even though they receive most benefit from the free space compared to the cooperators and defectors. We choose initial fractional quantities for the non-delayed variables to be (0.1, 0.2, 0.5) and for the delayed variables to be (0.3, 0.3, 0.3).