Figure 4

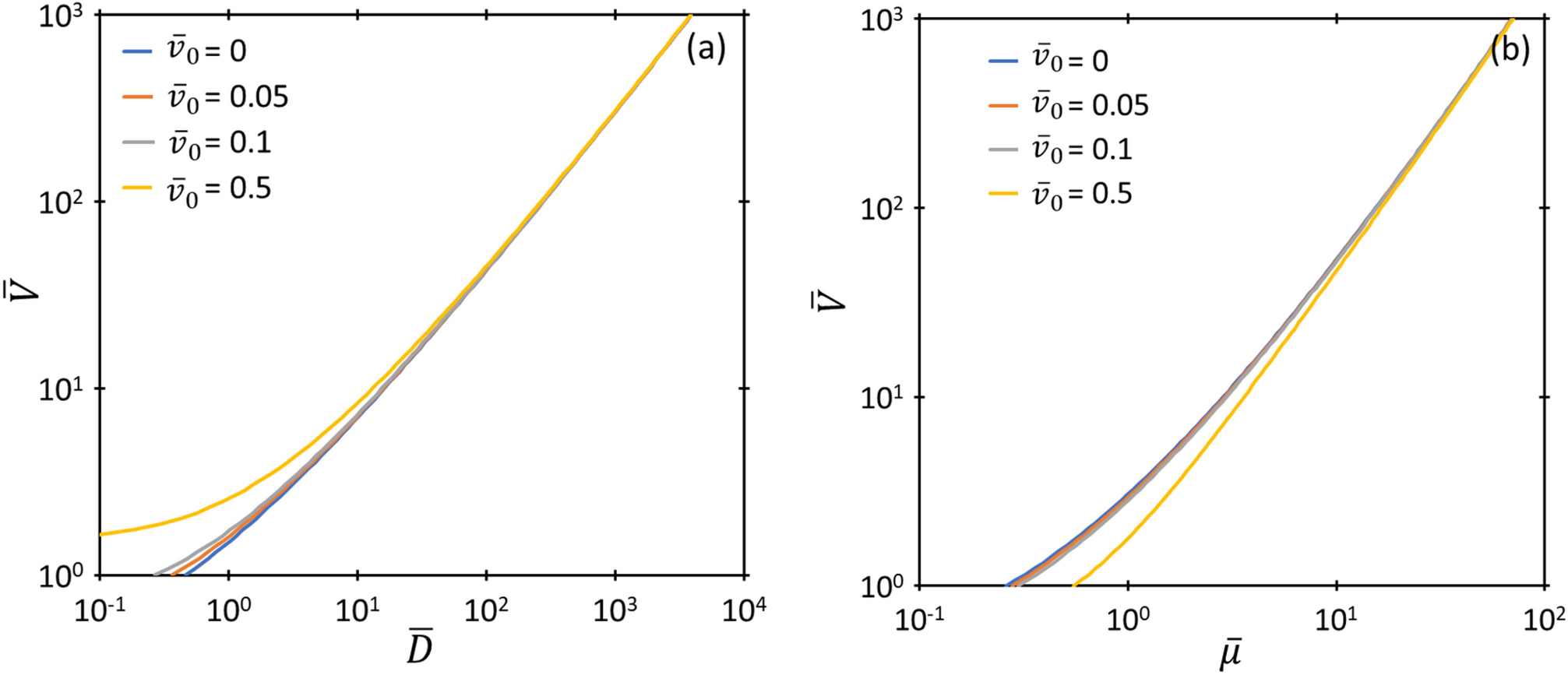
Dimensionless voltage \(\overline{V }\) as a function of (a) dimensionless gap distance \(\overline{D }\) and (b) dimensionless mobility \(\overline{\mu }\) describing the third-order nexus between GCL, GMG, and FN.

Dimensionless voltage \(\overline{V }\) as a function of (a) dimensionless gap distance \(\overline{D }\) and (b) dimensionless mobility \(\overline{\mu }\) describing the third-order nexus between GCL, GMG, and FN.