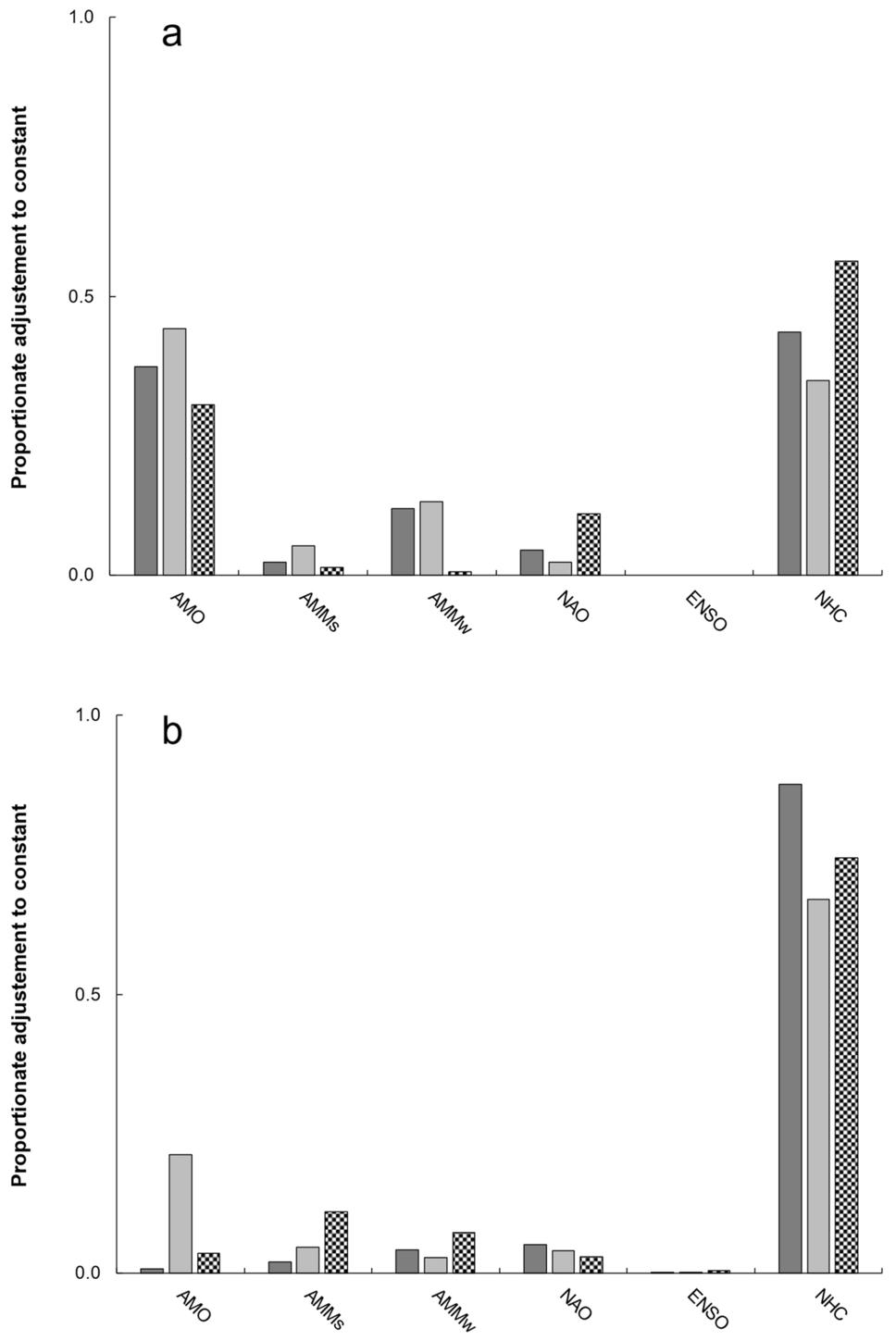
Figure 3
From: Climate-mediated population dynamics for the world’s most endangered sea turtle species

Gross adjustment to regression equation constants (a nests, b hatchlings per nest) by climate series (bars, x-axis) during 1966–1985 (dark gray), 1986–2005 (light gray), and 2006–2022 (pattern filled). Climate data series, represented along the x-axis, as follows: Atlantic Multidecadal Oscillation (AMO); Atlantic Meridional Mode, sea surface temperature (AMMs) and wind (AMMw); North Atlantic Oscillation (NAO); El Niño-Southern Oscillation (ENSO); National Hurricane Center (NHC), Atlantic hurricane database.