Figure 5

Absorption spectra of TAZD1-TAZD5 in two different media. The UV–Vis graphs are illustrated utilizing Origin Pro 8.5 version (https://www.originlab.com/).

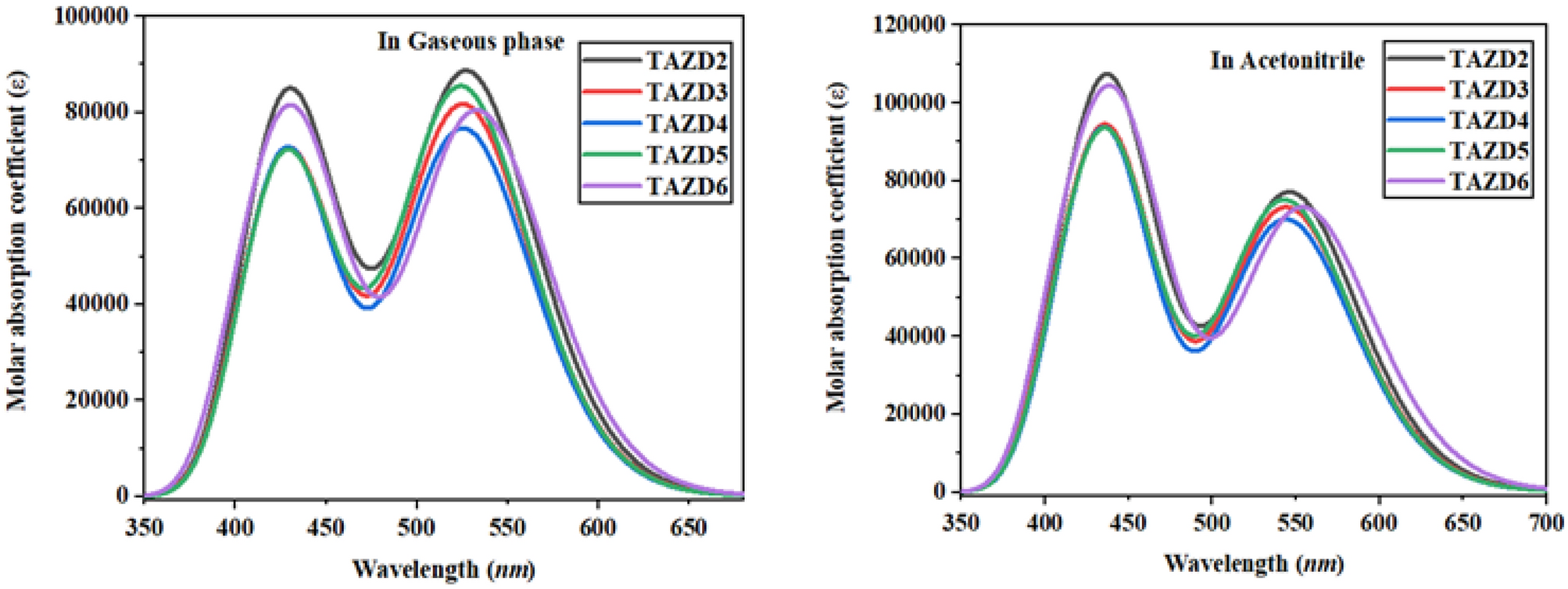
Absorption spectra of TAZD1-TAZD5 in two different media. The UV–Vis graphs are illustrated utilizing Origin Pro 8.5 version (https://www.originlab.com/).