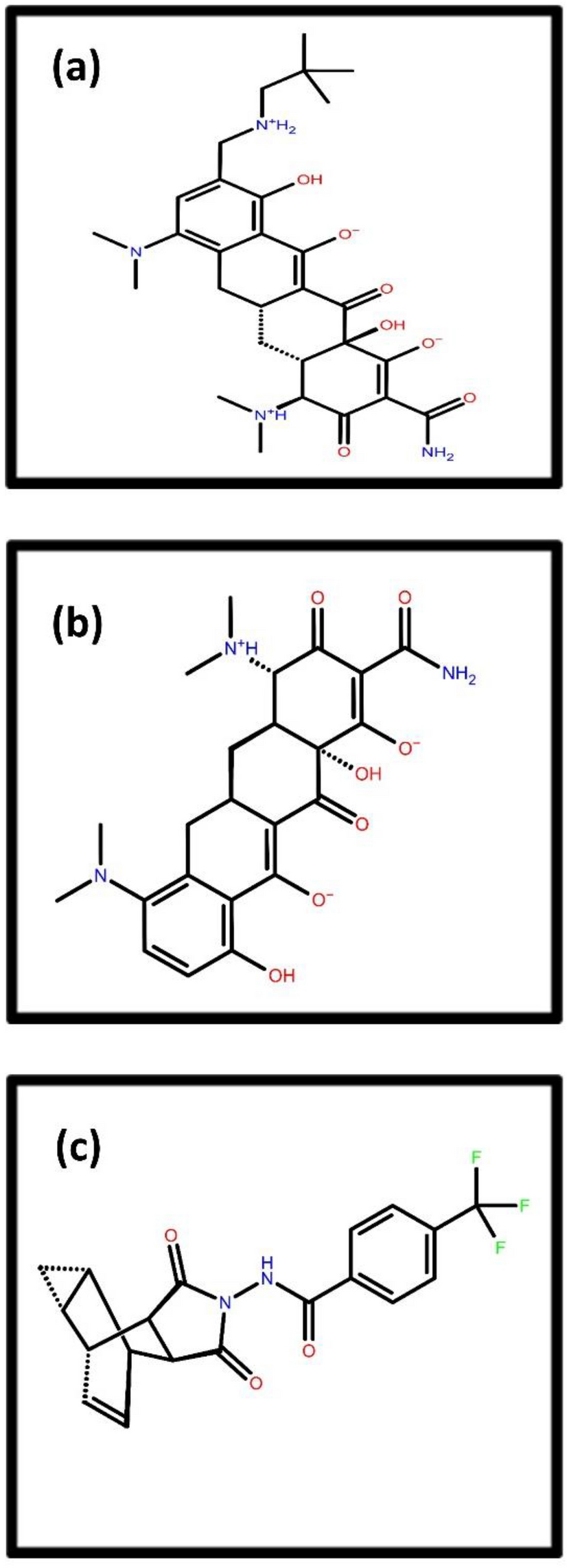
Figure 3

2D structure representation of selected top two drugs viz., (a) Omadacycline (b) Minocycline antibiotic drugs after screening against MPXV proteinase along with reference compound (c) Tecovirimat.

2D structure representation of selected top two drugs viz., (a) Omadacycline (b) Minocycline antibiotic drugs after screening against MPXV proteinase along with reference compound (c) Tecovirimat.