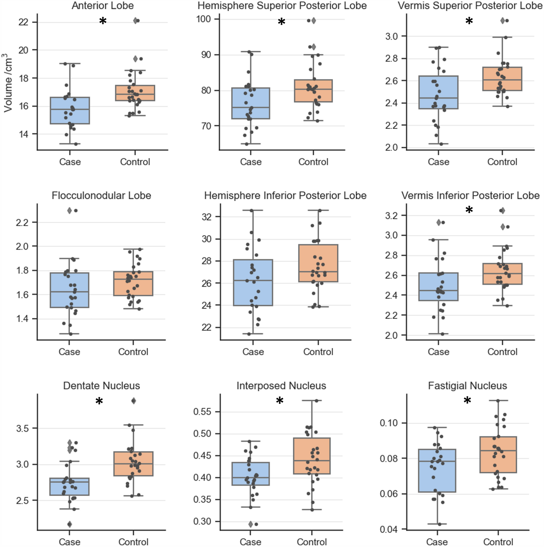
Figure 4

Raw regional cerebellar volumes between case and control groups. The boxes depict the interquartile ranges, with a horizontal line to mark the median value. Whiskers extend to the range of the data, not including outliers shown as diamonds. Overlaid points show the raw data for each subject. *FDR-corrected p < 0.05.