Figure 3
From: Probing magnetic properties at the nanoscale: in-situ Hall measurements in a TEM

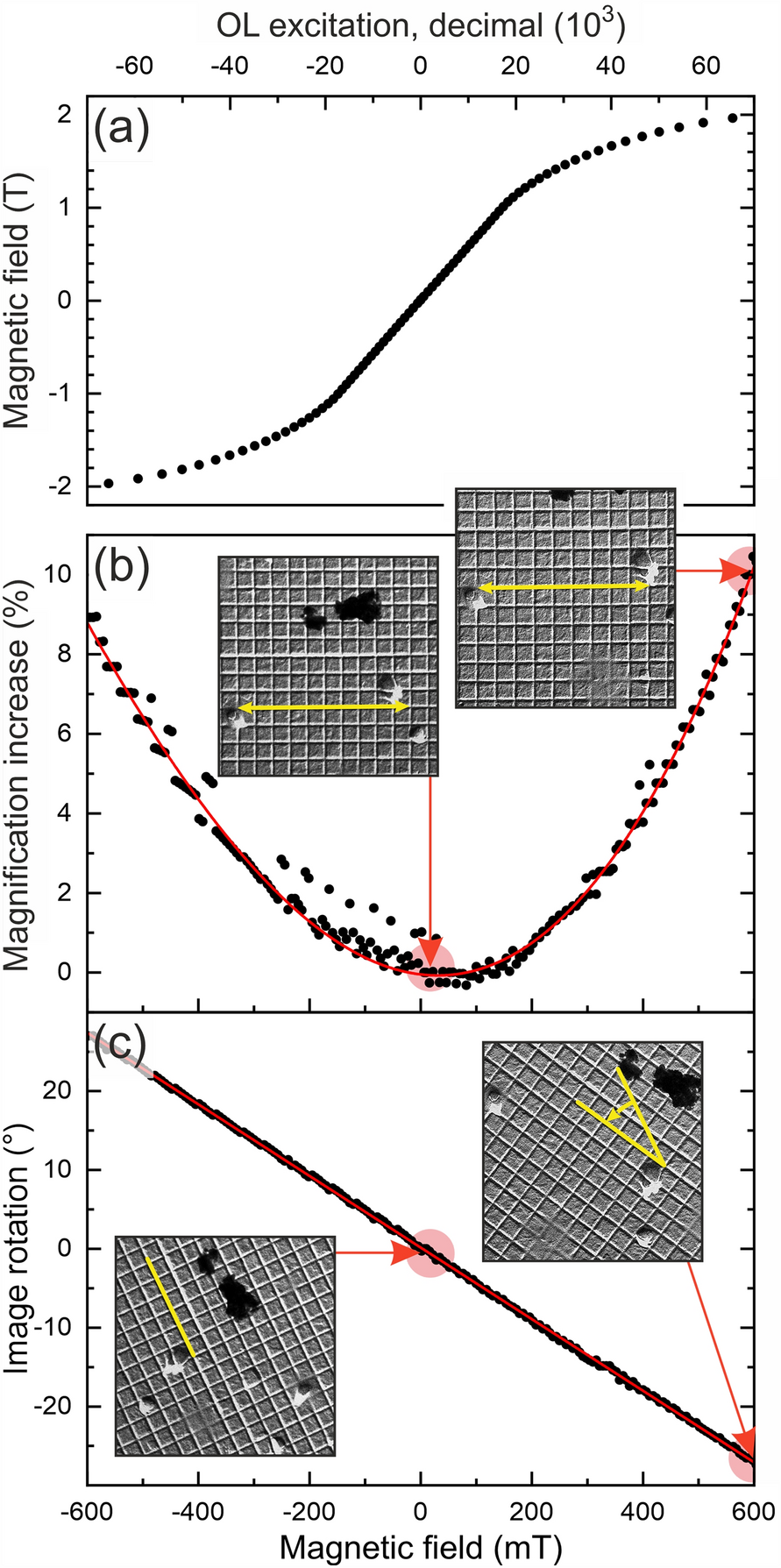
Calibration curves for the combined in-situ Hall and LTEM measurements: (a) Magnetic field as function of the objective lens excitation (in decimals as programmed through the microscope’s user interface). Negative values represent excitations after manual reversal of the polarity. (b) Relative change of the magnification in the LTEM image (with respect to the value at zero field, black dots) vs. applied magnetic field. The red line indicates a polynomial fit to the data utilized for post-processing correction of the images. (c) Magnetic field dependence of the angle of rotation (black dots) of the LTEM images and linear regression of the data (red line). Insert LTEM images of a Au cross-grating sample in (b, c) highlight the field effects (at 600 mT as compared to 15 mT) on the image magnification and rotation, respectively. Please, note the different abscissae in (a) and (b, c), respectively.