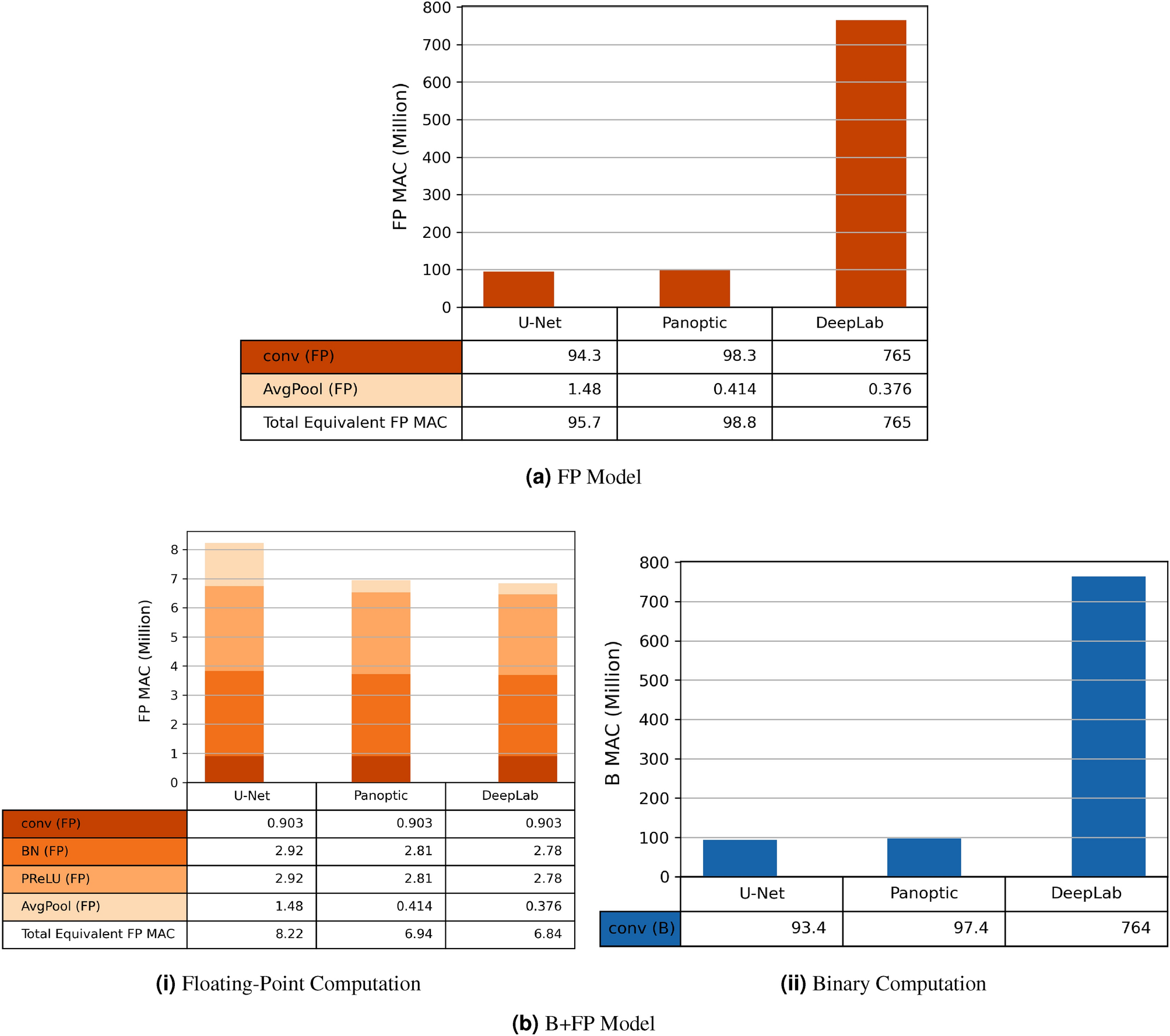
Figure 3
From: Memory-efficient low-compute segmentation algorithms for bladder-monitoring smart ultrasound devices

Computation requirement in the unit of a million MACs. The DeepLabv3+ Model requires more than \(7\times\) computations than U-Net and Panoptic. Orange bars are used for floating-point MACs; blue bars indicate equivalent binary MACs. The models are defined in Table 1. Conv is convolution; AvgPool is average pooling; BN is BatchNorm; PReLU is parametrized ReLU [Eq. (3)].