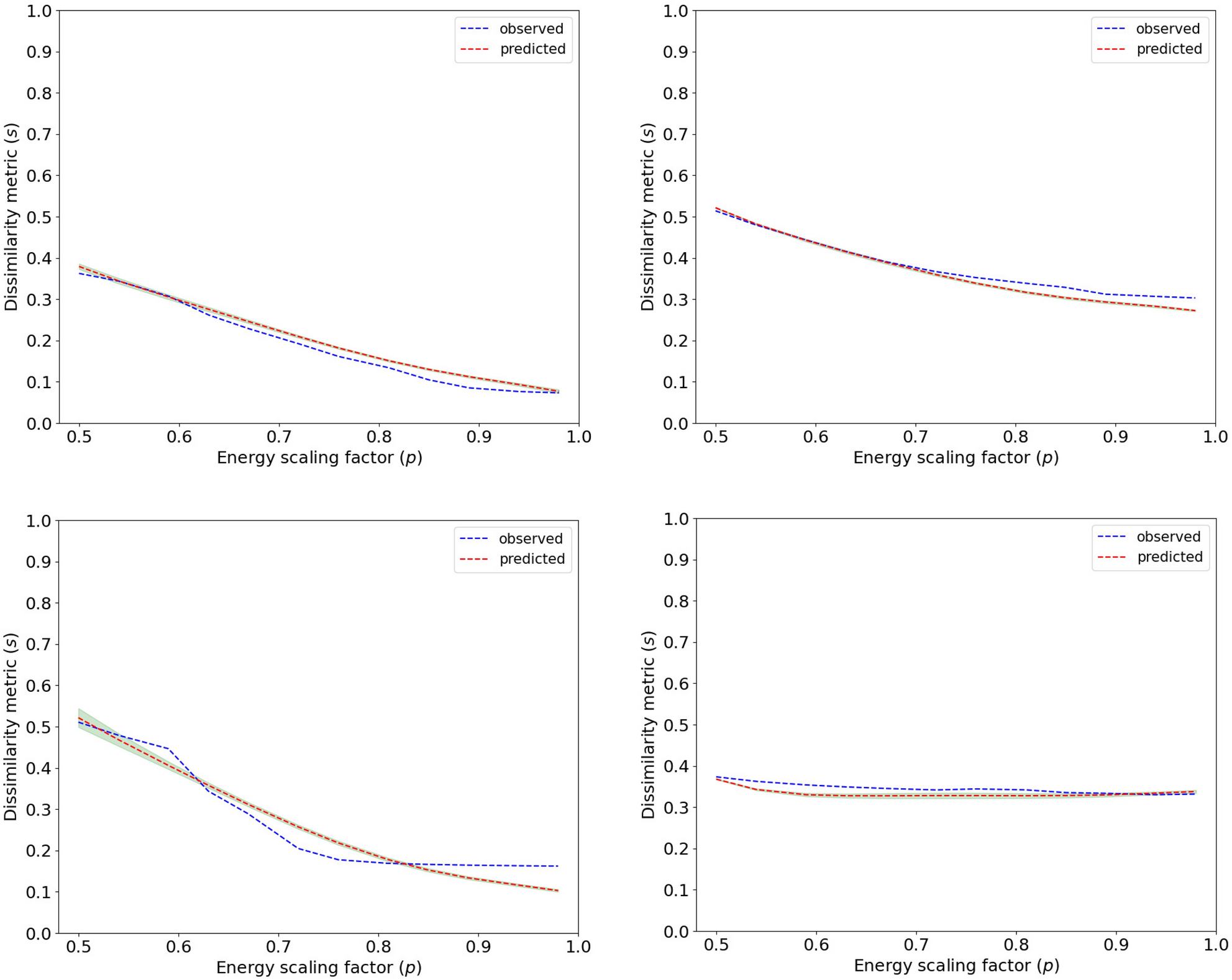
Figure 8
From: Learning hyperparameter predictors for similarity-based multidisciplinary topology optimization

Relationship between the dissimilarity metric s and the energy scaling value p for randomly selected test case-reference pairs from the test set, with the corresponding predictions of the best polynomial regression model. The green, transparent areas in the plots correspond to a 99% confidence interval, estimated based on 10-fold cross validation using polynomial regression models of degree 5.