Figure 3
From: Venous blood parameters in determination of respiratory impairment in amyotrophic lateral sclerosis

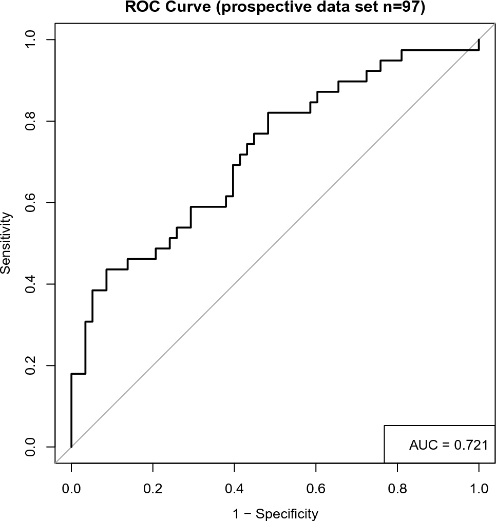
Receiver operating characteristic (ROC) curve of FVC in the validation set.
From: Venous blood parameters in determination of respiratory impairment in amyotrophic lateral sclerosis

Receiver operating characteristic (ROC) curve of FVC in the validation set.