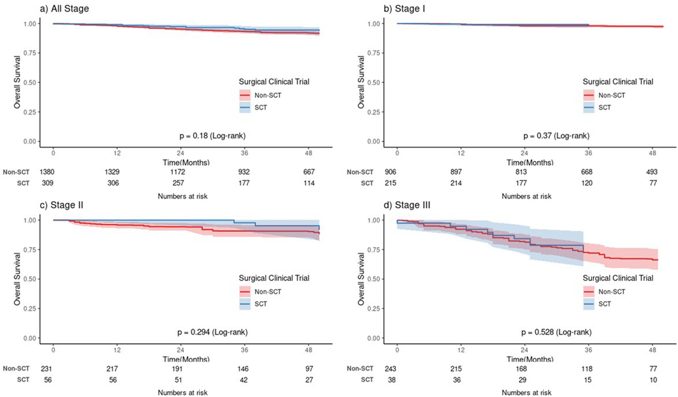
Figure 3

Overall survivals according to the participation in the surgical clinical trials after propensity score weighting. (a) All stages, (b) Stage I, (c) Stage II, (d) Stage III.

Overall survivals according to the participation in the surgical clinical trials after propensity score weighting. (a) All stages, (b) Stage I, (c) Stage II, (d) Stage III.