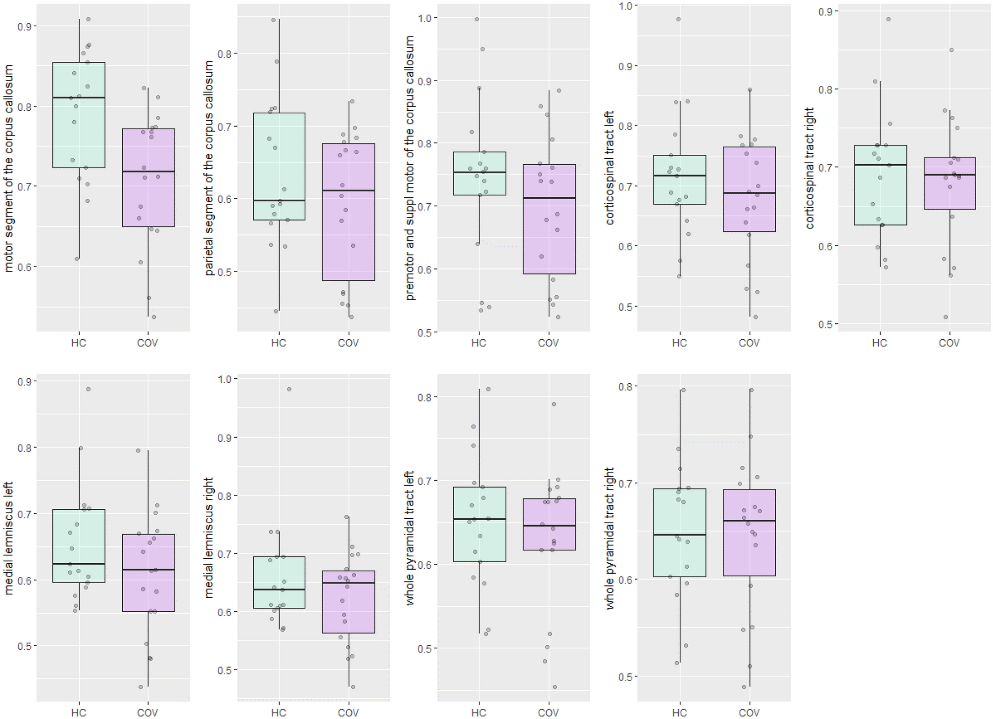
Figure 5

Fiber density cross-section of the motor segment of the corpus callosum, parietal segment of the corpus callosum, premotor and supplementary motor segment of the corpus callosum, bilateral medial lemnisci, bilateral whole pyramidal tracts and corticospinal tracts in COVID-19 patients (COV) and healthy controls (HC). Each facet presents the median and the IQR (box), Q1 − 1.5* IQR and Q3 + 1.5*IQR (whiskers), and individual observations (dots).