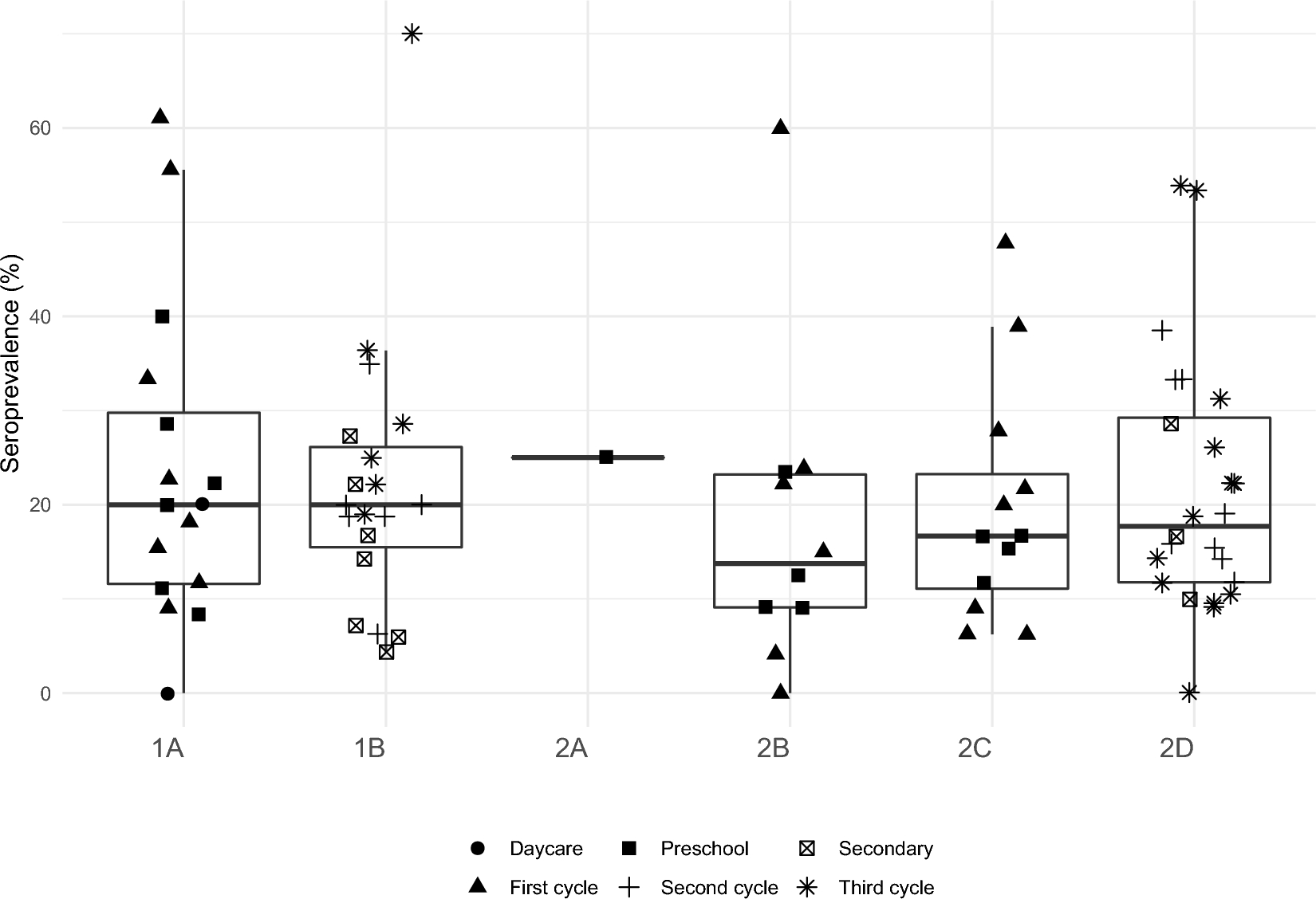
Figure 4

Seroprevalence of SARS-CoV-2 in students of the classes according to school. 1A, 1B: schools of region 1 (S.M. Feira); 2A, 2B, 2C and 2D: schools of region 2 (Paredes).

Seroprevalence of SARS-CoV-2 in students of the classes according to school. 1A, 1B: schools of region 1 (S.M. Feira); 2A, 2B, 2C and 2D: schools of region 2 (Paredes).