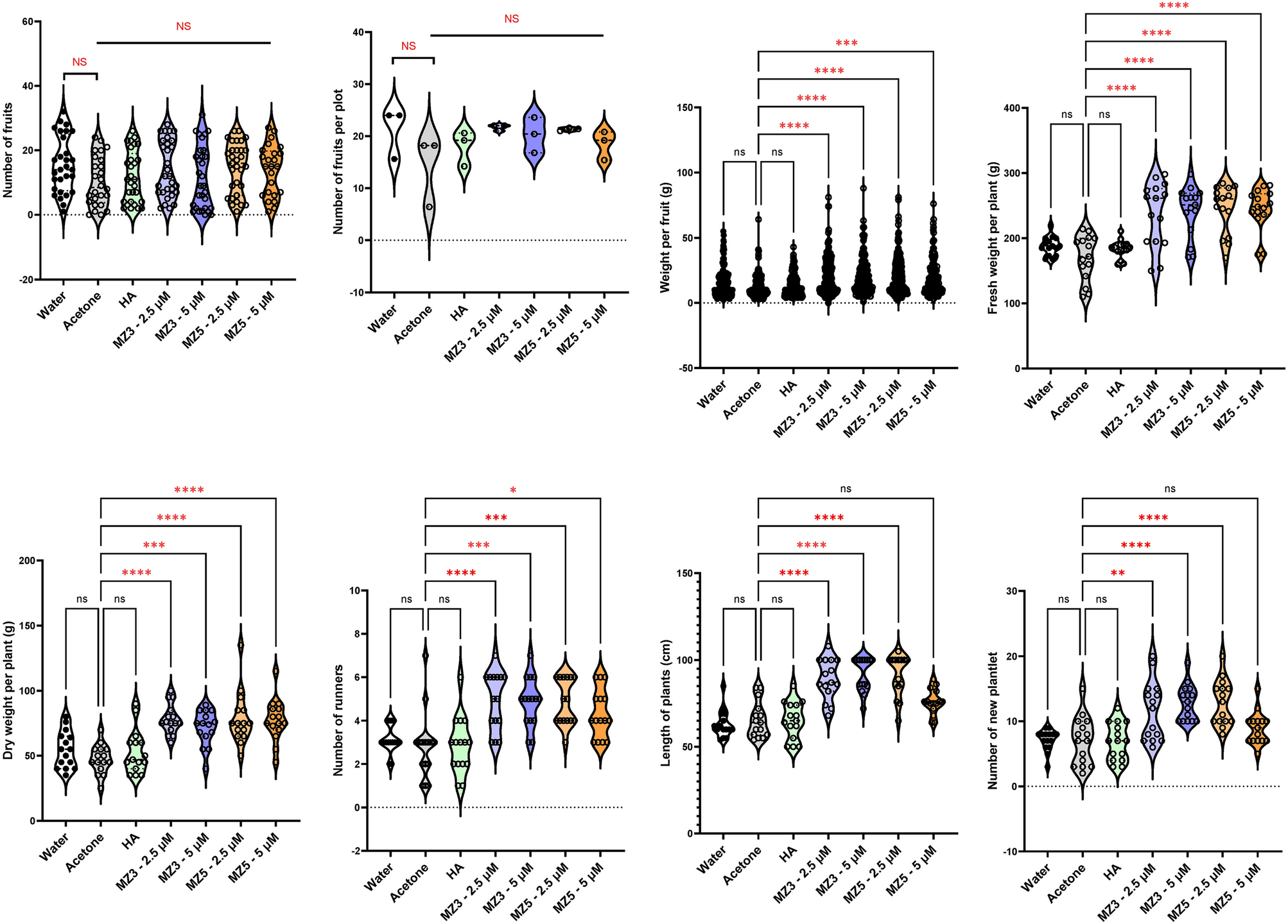
Figure 5

MiZax effect on plant architecture and fruit production of strawberry (cv Festival) from the field of KAU, performed in 2022. Data represent mean ± SD. n ≥ 15, except fruit per plot was calculated from the average from 15 plants of three plots (n = 3). Statistical analysis was performed using One-way analysis of variance (ANOVA) and Tukey’s post hoc test or using two-tail student t-test. Asterisks indicate statistically significant differences as compared to mock (*p < 0.05, **p < 0.01, ***p < 0.001, ****p < 0.0001; ns, non-significant). HA, humic acid; MZ3, MiZax3; MZ5, MiZax5.