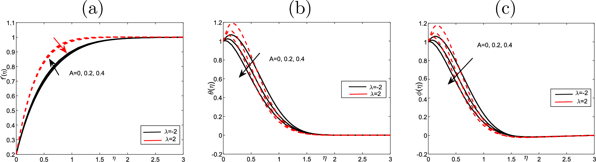
Figure 4

Effect of unsteadiness parameter A for (a) the velocity \(f^{\prime }\), (b) the temperature \(\theta\), as well as (c) volume fraction \(\phi\) profiles of the values \(Scn=0.22\), \(Nt=Nb=\varepsilon =0.2\), \(M=5\), \(Ec=1\), \(Pr=6.2\) and \(Nr=Vw=0.2\).