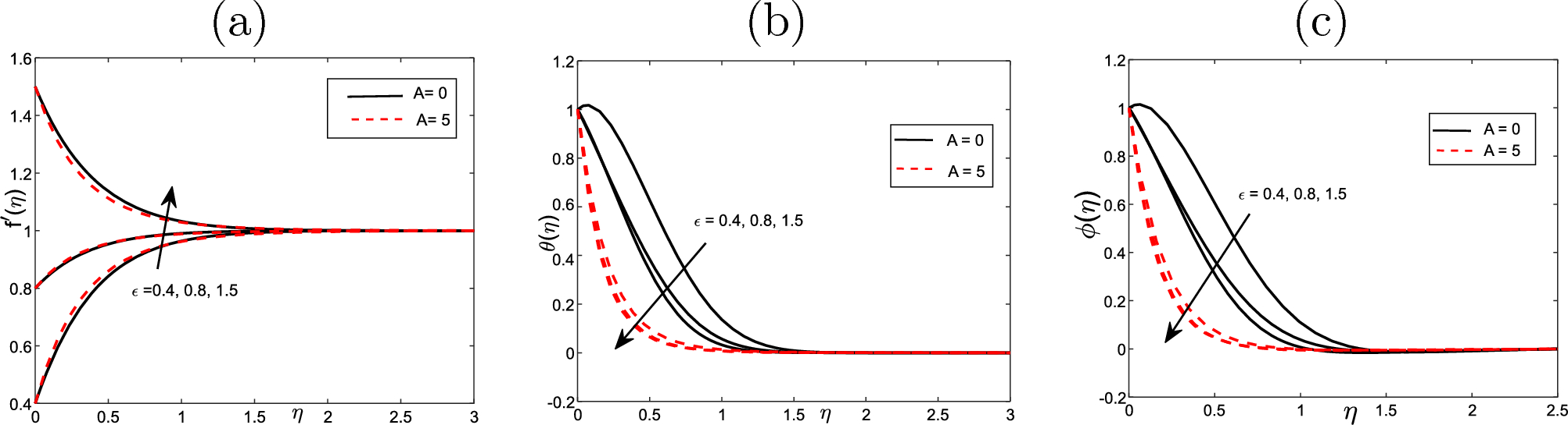
Figure 5

Effect of stretching/shrinking sheet parameter \(\varepsilon\) for (a) the velocity \(f^{\prime }\), (b) the temperature \(\theta\) and (c) volume fraction \(\phi\) profiles of the values \(Scn=0.22\), \(Nt=Nb=0.2\), \(M=5\), \(Ec=1\), \(Pr=6.2\) and \(\lambda =Nr=Vw=0.5\).