Figure 6
From: Towards a promising systematic approach to the synthesis of CZTS solar cells

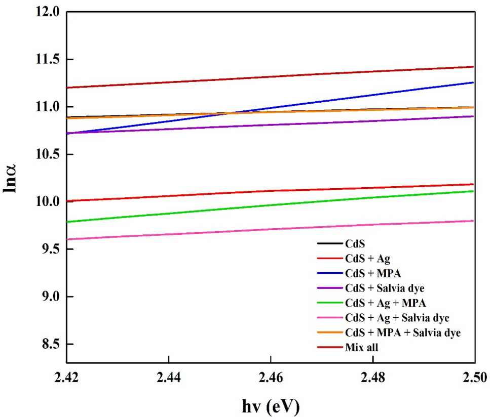
Urbach energy of the CdS deposited for different CdS additives at: (a) Basic CdS, (b) CdS + Ag, (c) CdS + MPA, (d) CdS + Salvia dye, (e) CdS + Ag + MPA, (f) CdS/Ag/Salvia dye, (g) CdS + MPA + Salvia dye, (h) CdS + Ag + MPA + Salvia dye.