Figure 11
From: The effect of material defect orientation on rolling contact fatigue of a ball bearing

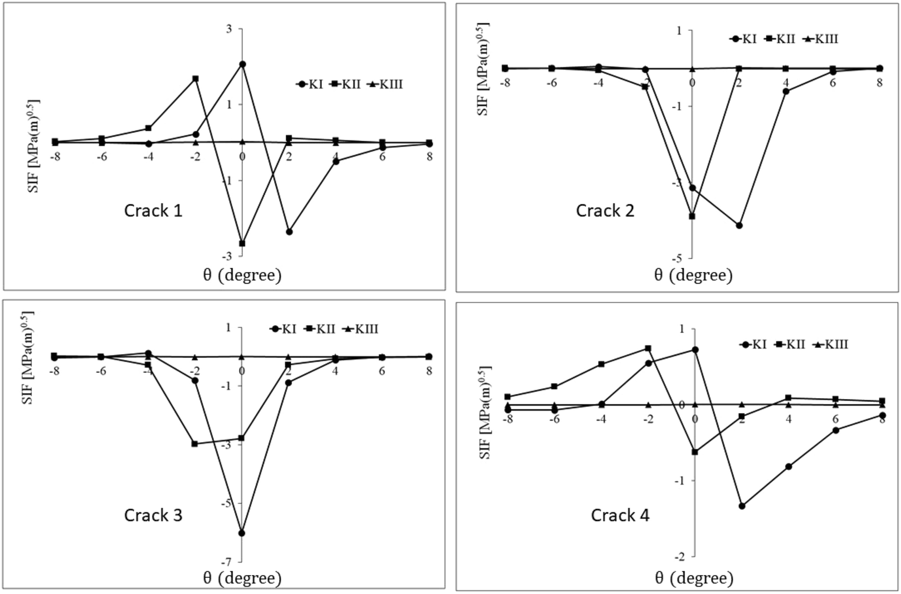
History of stress intensity factors of cracks 1–4 for φ = 45°.
From: The effect of material defect orientation on rolling contact fatigue of a ball bearing

History of stress intensity factors of cracks 1–4 for φ = 45°.