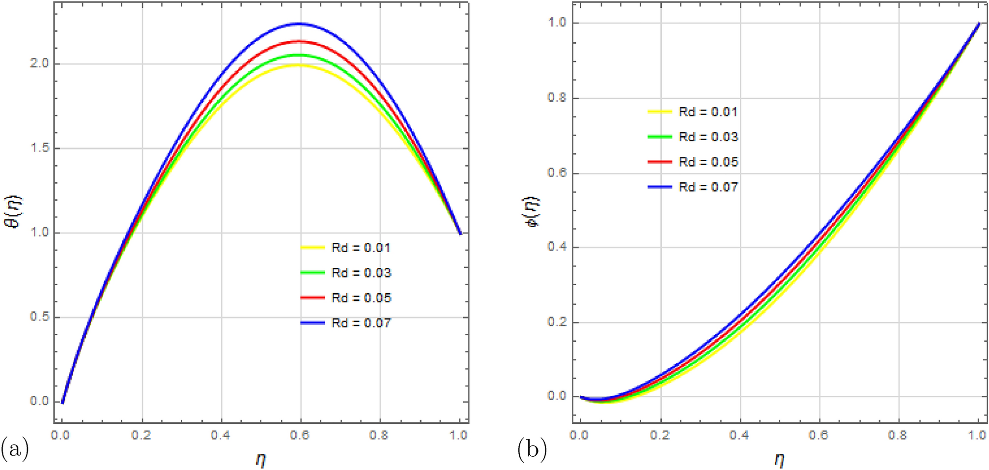
Figure 14

Impact of Radiation parameter \( R_d \) on temperature profile \(\theta (\eta )\) and concentration profile \(\phi (\eta )\) with \(\Omega =0.5\), \(D_u=0.5\), \(S_q=0.5\), \( S_c=0.5 \), \( S_r=0.5 \), \( S=1\), \( M=5 \), \(P_r=0.5\), \(E_c=0.5 \) and \(\delta =0.1\).