Figure 5

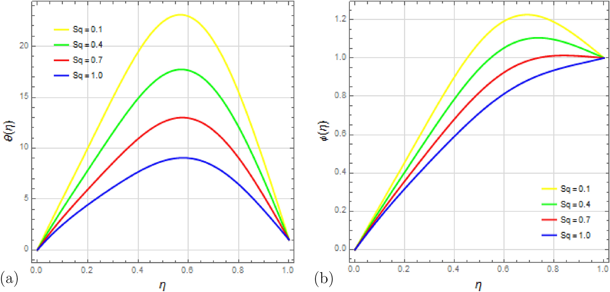
Impact of squeezing number \( S_q \) on \( \theta (\eta ) \) and \(\phi (\eta )\) with \(\Omega =1\), \(D_u=0.5\), \(P_r=0.5\), \( S_c=0.9 \), \( S_r=0.2 \), \( S=0.8\), \( M=10 \), \(R_d=1\), \(E_c=0.2 \) and \(\delta =0.1\).

Impact of squeezing number \( S_q \) on \( \theta (\eta ) \) and \(\phi (\eta )\) with \(\Omega =1\), \(D_u=0.5\), \(P_r=0.5\), \( S_c=0.9 \), \( S_r=0.2 \), \( S=0.8\), \( M=10 \), \(R_d=1\), \(E_c=0.2 \) and \(\delta =0.1\).