Figure 9
From: Submarine optical fiber communication provides an unrealized deep-sea observation network

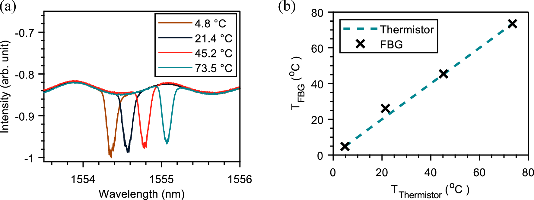
FBG-based temperature sensing. (a) Transmitted spectrum through the FBG sensor at different temperature values. (b) Comparison between the water temperature values measured by the FBG and thermometer.