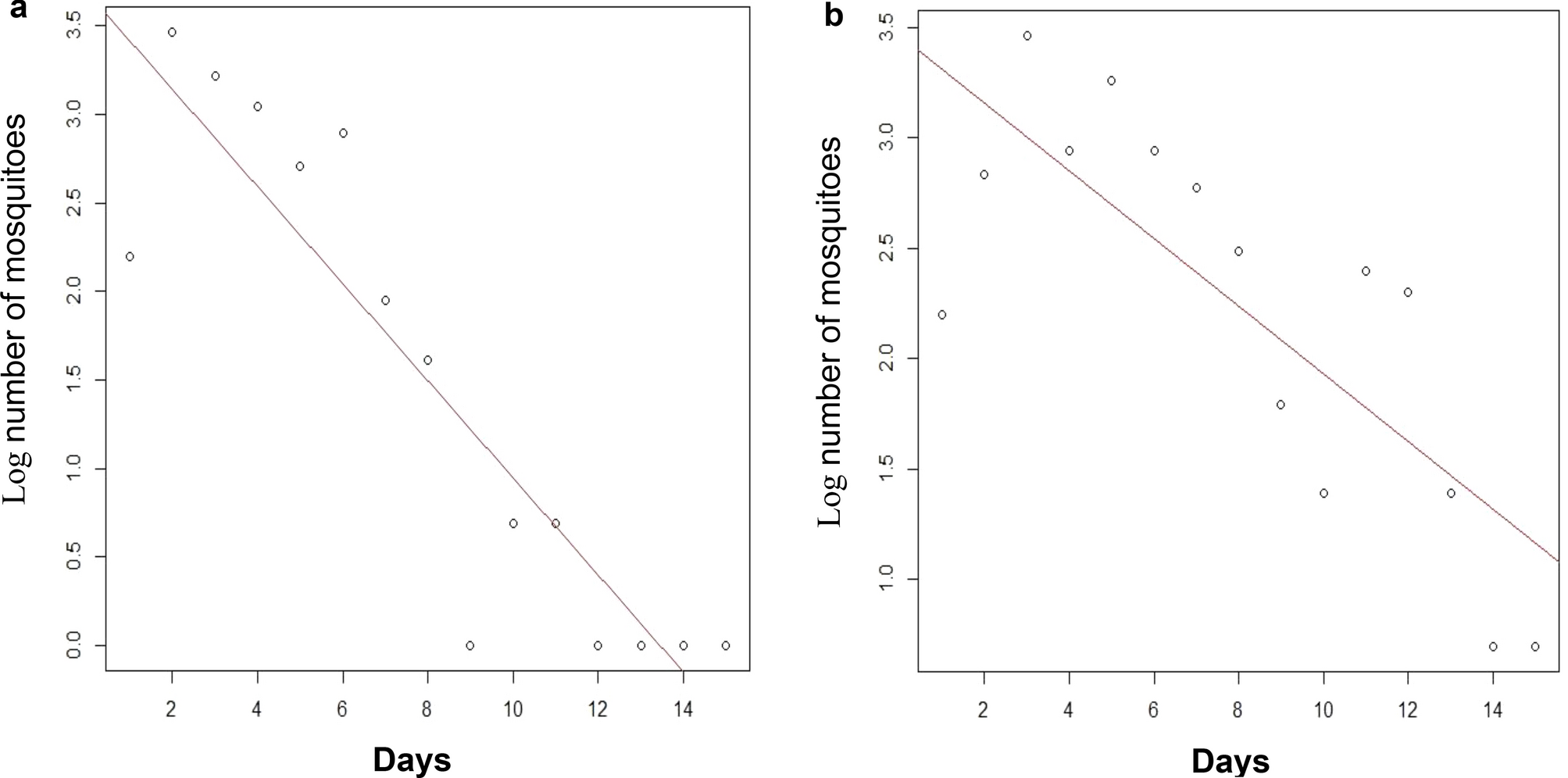
Figure 1

Probability of survival trends for An. arabiensis (a) and An. funestus (b) over a period of 2 weeks. Overall, for both species’ survival reduced over time but, An. funestus seemed to live longer than An. arabiensis since recapture of marked and released mosquitoes extended beyond the 15th day.