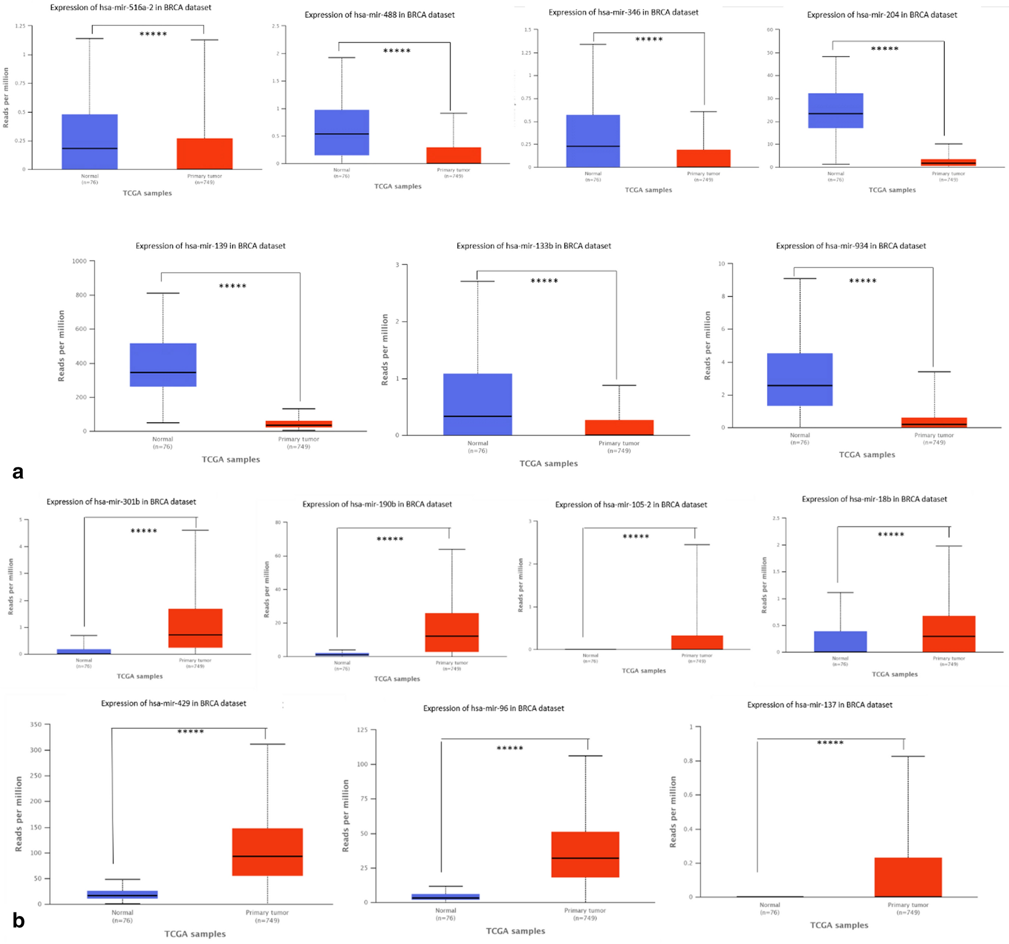
Figure 5

(a) Top 7 downregulated miRNAs include miR-516-2, miR-488, miR-346, miR-204, miR-139, miR-133b and miR-934. (b) Top 7 upregulated miRNAs include miR-301b, miR-190b, miR-105-2, miR-18b, miR429, miR-96 and miR-137.

(a) Top 7 downregulated miRNAs include miR-516-2, miR-488, miR-346, miR-204, miR-139, miR-133b and miR-934. (b) Top 7 upregulated miRNAs include miR-301b, miR-190b, miR-105-2, miR-18b, miR429, miR-96 and miR-137.