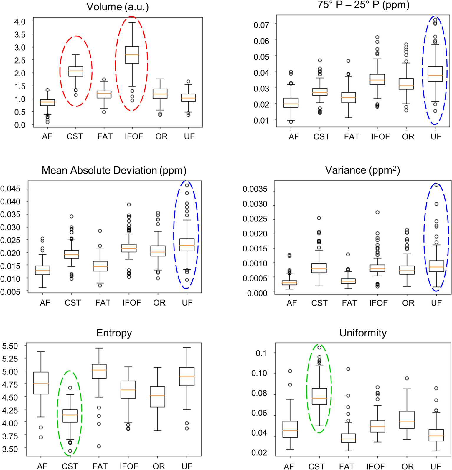
Figure 4

Volume and first order features in the NAWM tracts. Box plots of volume (corrected by the total brain volume according to the proportional adjustment method), interquartile range of susceptibility (=ā75th P-25th P [Pā=āpercentile]), mean absolute deviation (MAD), variance, entropy and uniformity (first-order statistics features) distributions in the NAWM tracts (5TE-QSM). CST and IFOF have the greatest volumes (red dashed lines); UF has the highest variability in range, MAD, and variance (blue dashed lines); CST showed lower entropy and higher uniformity (green dashed lines) resulting in more uniform texture despite its volume (NAWM =Ā normal appearing white matter, TE =Ā echo time, QSM =Ā quantitative susceptibility mapping, AFĀ = arcuate fasciculus, CST =Ā cortico-spinal tract, FAT =Ā frontal aslant tract, IFOF =Ā inferior fronto-occipital fasciculus, OR =Ā optic radiation, UF =Ā uncinate fasciculus).