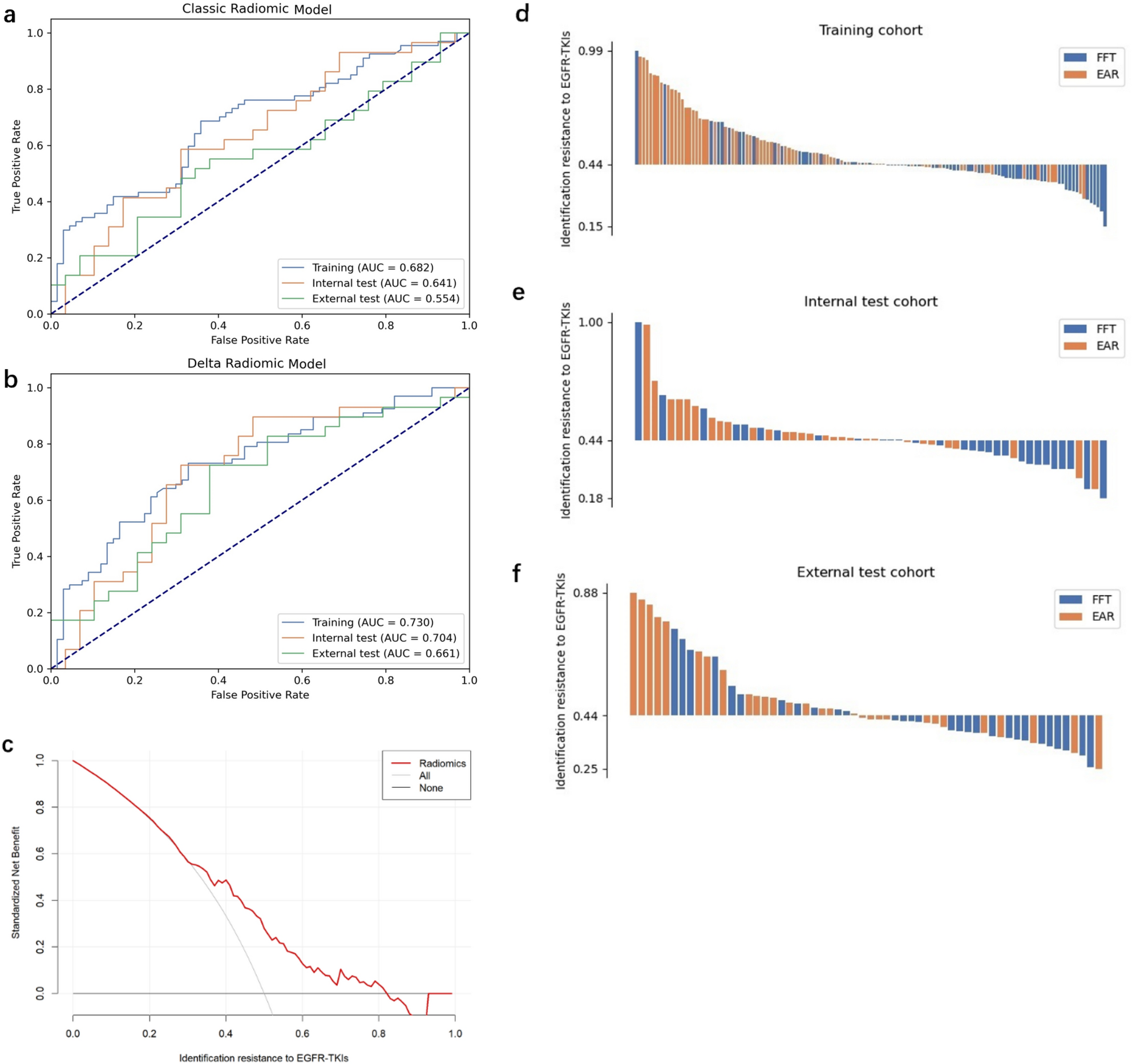
Figure 5

Comparison of different models for identifying early acquired resistance in training, internal test, and external test cohorts. (a) and (b) are the ROC curves of the classic radiomic model and delta radiomic model over different cohorts, respectively. The delta radiomic model showed better performance. (c) Decision curve analysis was performed for the delta radiomic model in all patients from two institutions, which indicated that the delta model added more benefit than treating all or none of the patients for the range of 0.3 to 0.82 threshold probabilities. (d-f) Waterfall plot of the combined model showing the predicted probabilities in training, internal and external test cohorts, respectively.