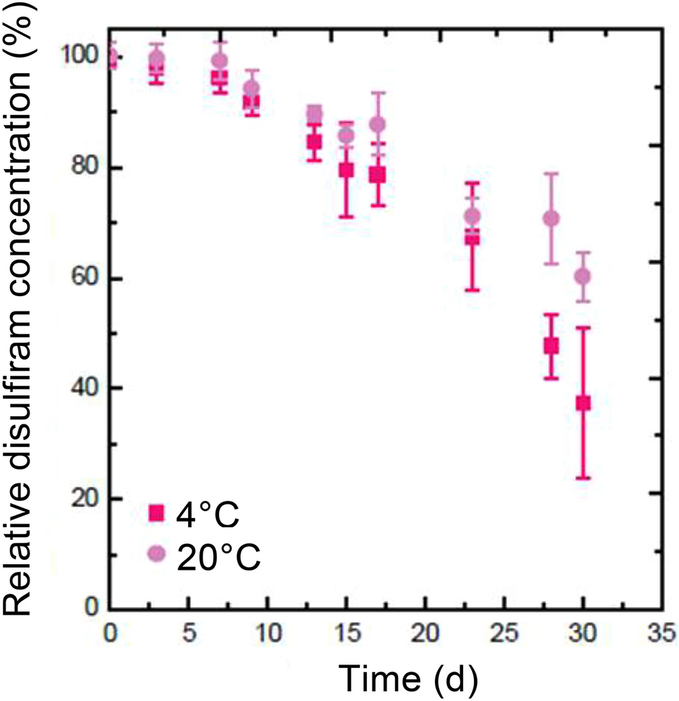
Figure 4

Stability of the disulfiram W/O emulsion. Disulfiram’s chemical stability was measured by HPLC–UV at 4 °C and room temperature (20 °C) for 30 days.

Stability of the disulfiram W/O emulsion. Disulfiram’s chemical stability was measured by HPLC–UV at 4 °C and room temperature (20 °C) for 30 days.