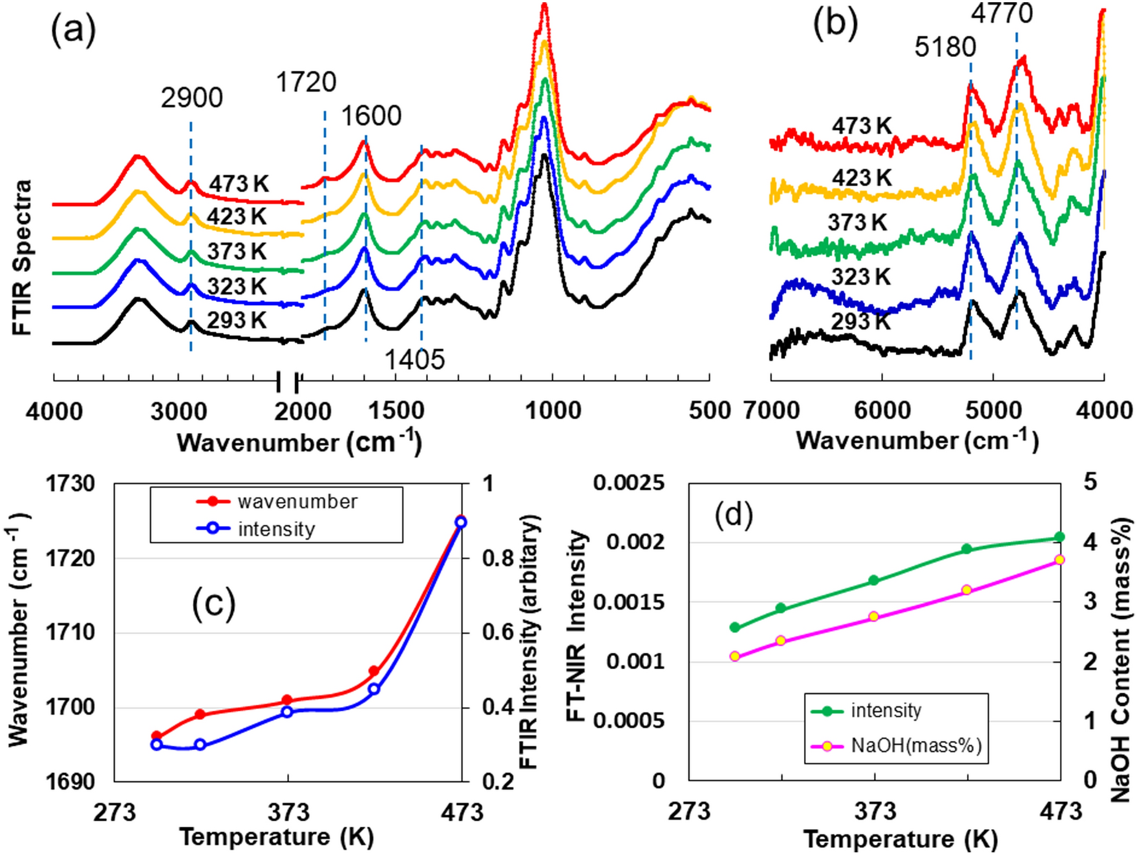
Figure 2
From: High-energy storage capacity of cellulose nanofiber supercapacitors using bound water

Infrared (IR) and near-infrared (NIR) spectroscopic analyses for dry cellulose nanofibers (Na-ACF) specimens heated at 323, 373, 423 and 473 K. Fourier transform infrared (FT-IR) (a) and Fourier transform near-infrared (FT-NIR) (b) spectra of Na-ACF films. (c) Wavenumber shift and FTIR intensity of 1,720 cm-1 after heat treatment. (d) FTIR intensity of 4,770 cm-1 and content of sodium hydroxide (NaOH) after heat treatment.