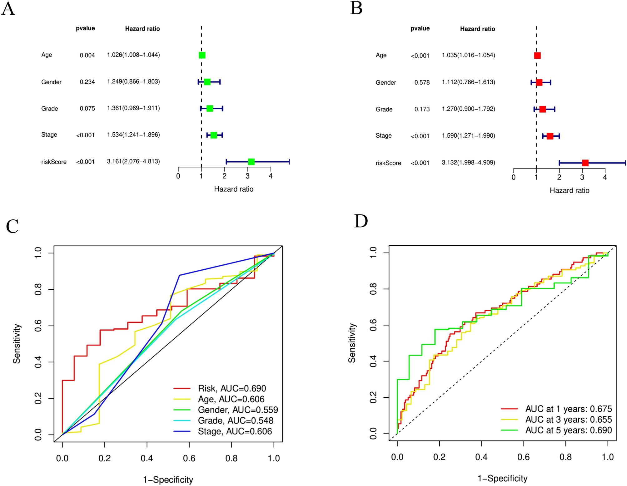
Figure 5

Establishing the association between the LRHG and clinical features. (A) Univariate and (B) multivariate analyses of the clinical features and risk score. (C) The risk score concordance indexes with clinical features in GC patients. (D) ROC curves in GC patients in 1-, 3-, and 5-year.