Figure 2
From: Shear strength characteristics of basalt fiber-reinforced loess

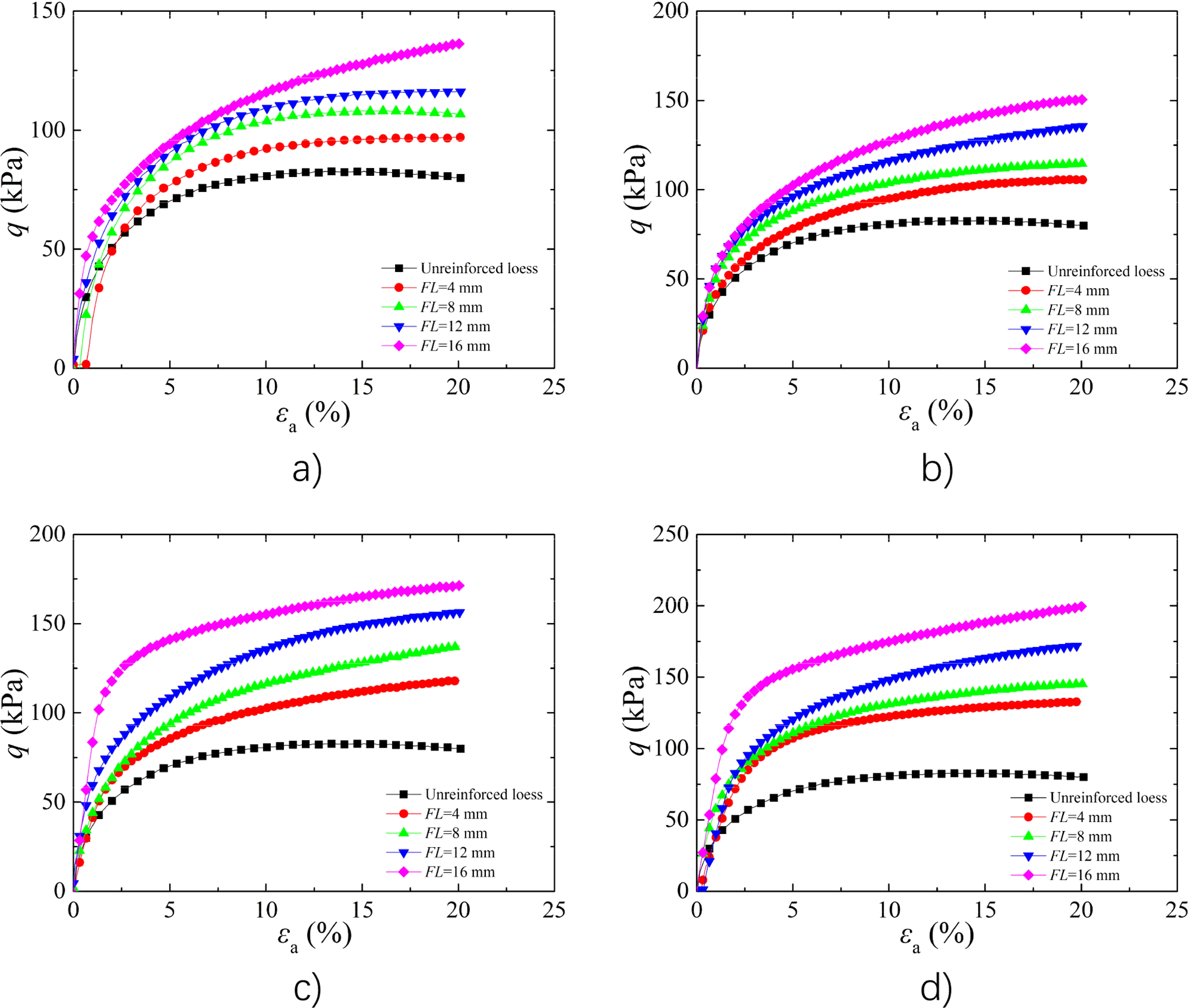
Effect of FL on stress–strain curves (a) FC = 0.2%; (b) FC = 0.4%; (c) FC = 0.6%; (d) FC = 0.8%.
From: Shear strength characteristics of basalt fiber-reinforced loess

Effect of FL on stress–strain curves (a) FC = 0.2%; (b) FC = 0.4%; (c) FC = 0.6%; (d) FC = 0.8%.