Figure 4
From: Shear strength characteristics of basalt fiber-reinforced loess

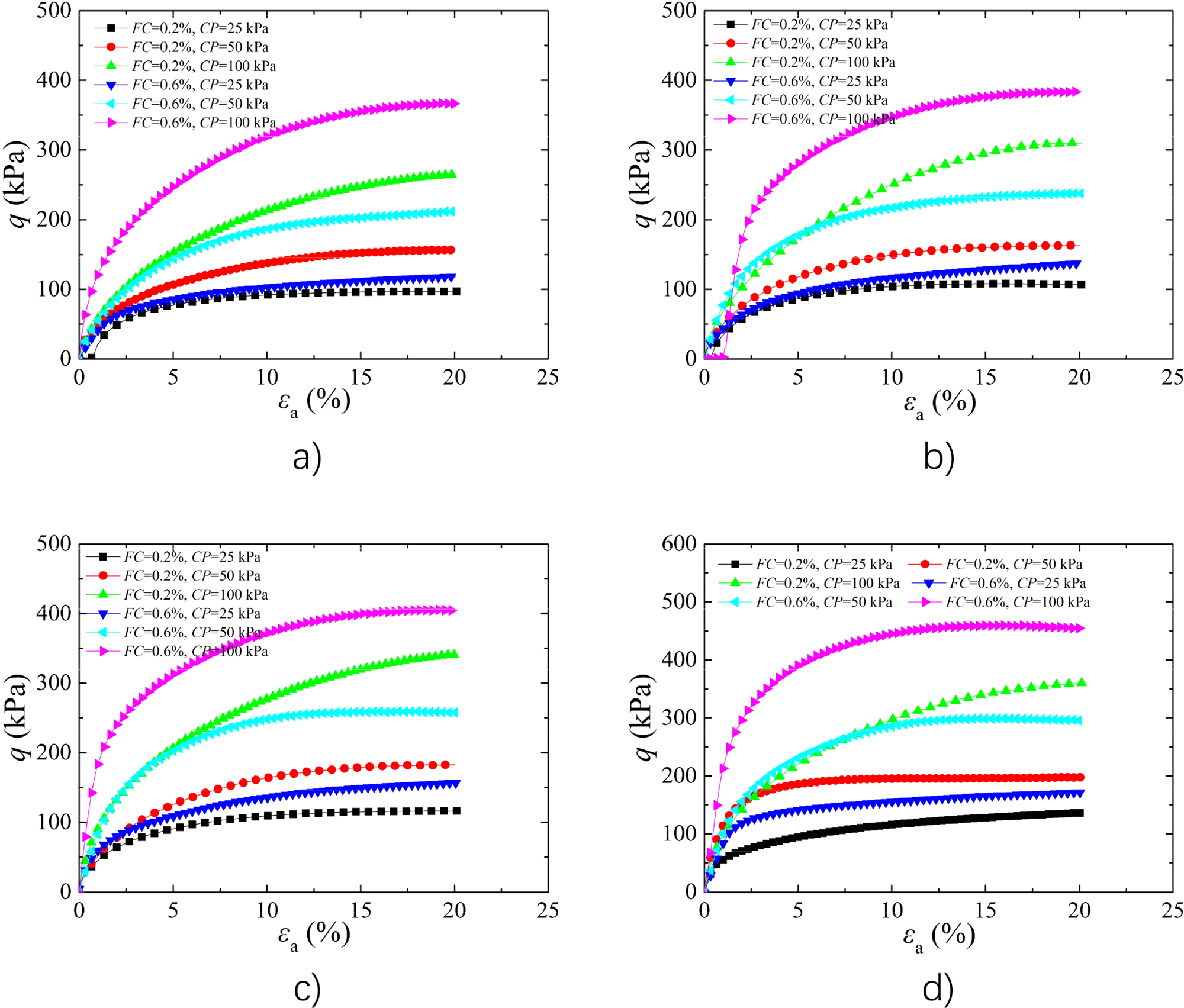
Effect of σ3 on the stress–strain curves (a) FL = 4 mm; (b) FL = 8 mm; (c) FL = 12 mm; (d) FL = 16 mm.
From: Shear strength characteristics of basalt fiber-reinforced loess

Effect of σ3 on the stress–strain curves (a) FL = 4 mm; (b) FL = 8 mm; (c) FL = 12 mm; (d) FL = 16 mm.