Figure 7
From: Shear strength characteristics of basalt fiber-reinforced loess

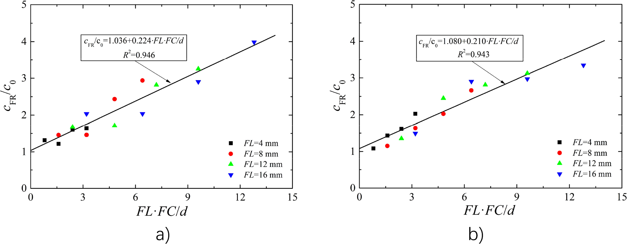
Fitting curves of cohesion (a) w = 9%; (b) w = 13%.
From: Shear strength characteristics of basalt fiber-reinforced loess

Fitting curves of cohesion (a) w = 9%; (b) w = 13%.