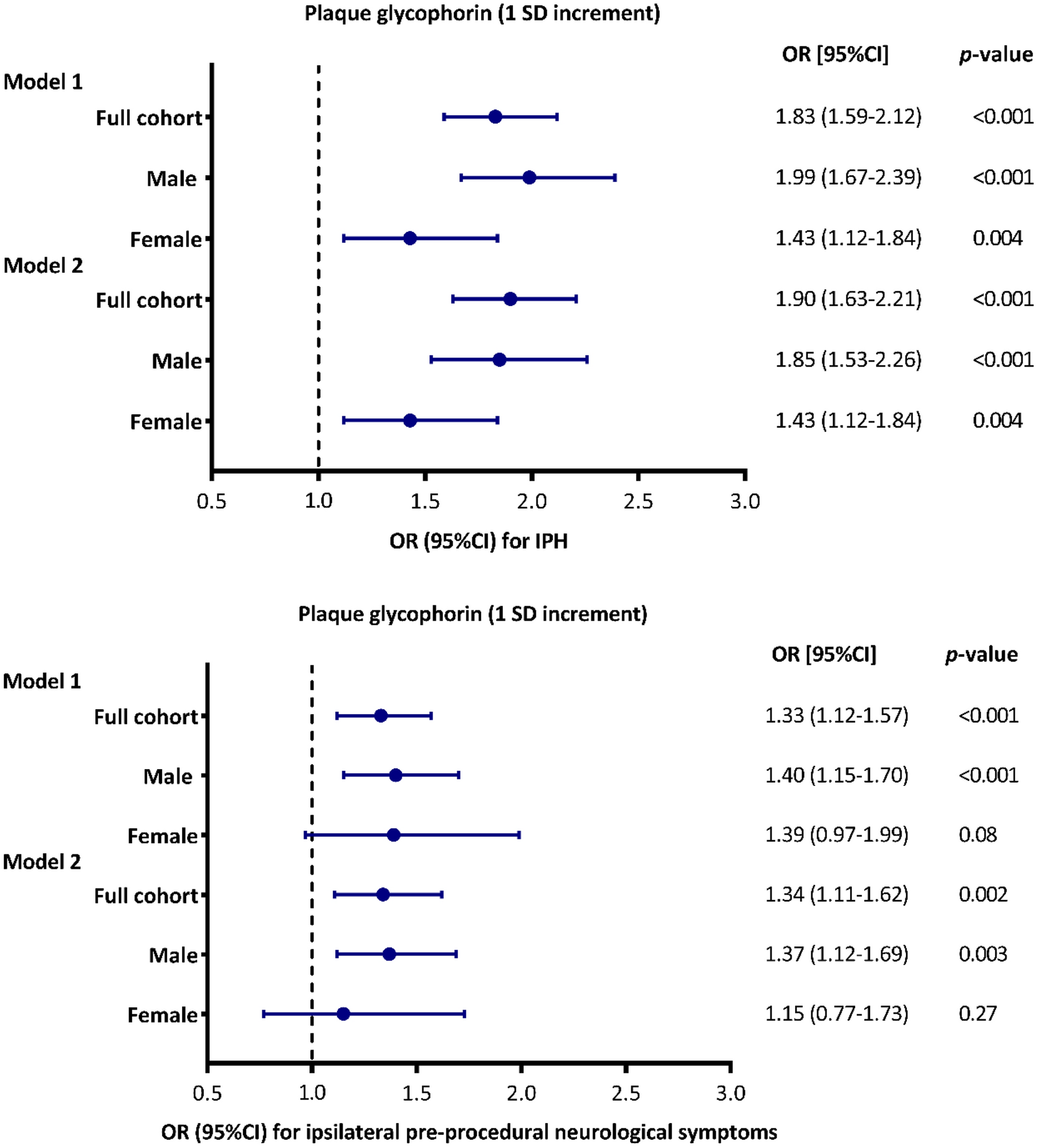
Figure 5

Multivariable associations between plaque glycophorin C (1 SD increment) with IPH and pre-procedural neurological symptoms. Associations adjusted for plaque size (Model 1) and adjusted for plaque size and confounders (Model 2) are shown. Shown are odd ratios (OR) or hazard ratios (HR) and error bars corresponding to their 95% confidence intervals (CI). The confounders included in the Model 2 associations can be found in Supplemental Table S1. (A) Multivariable associations of glycophorin C with IPH, as derived from logistic regression analyses. (B) Multivariable associations of glycophorin C with pre-procedural symptoms (asymptomatic versus symptomatic), as derived from logistic regression analyses.