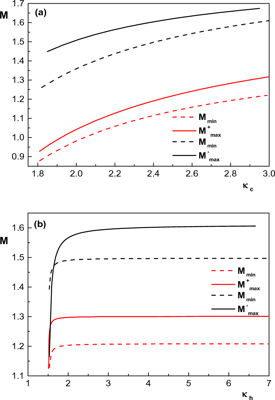
Figure 1
From: Electron beam driven ion-acoustic solitary waves in plasmas with two kappa-distributed electrons

Variation of lower and upper limits of Mach number with (a) spectral index of cool electrons \(\kappa _c\) (\(1.8<\kappa _c<3\)) for \(\kappa _h=5\), \(\sigma _i=0.1\), \(\delta _h =0.5\) (red curves) and \(\kappa _h=5\), \(\sigma _i=0.3\), \(\delta _h =0.65\) (black curves), and (b) spectral index of hot electrons \(\kappa _h\) (\(3<\kappa _h<7\)) for \(\kappa _c=2.9\), \(\sigma _i=0.1\), \(\delta _h=0.5\) (red curves) and \(\kappa _c=2.4\), \(\sigma _i=0.3\), \(\delta _h=0.65\) (black curves). Other parameters are \(u_{0b}= 0.05\), \(\mu =1836\), \(\sigma _b=1\), \(\sigma _h=100\) and \(\delta _b=0.001\).