Figure 3
From: Electron beam driven ion-acoustic solitary waves in plasmas with two kappa-distributed electrons

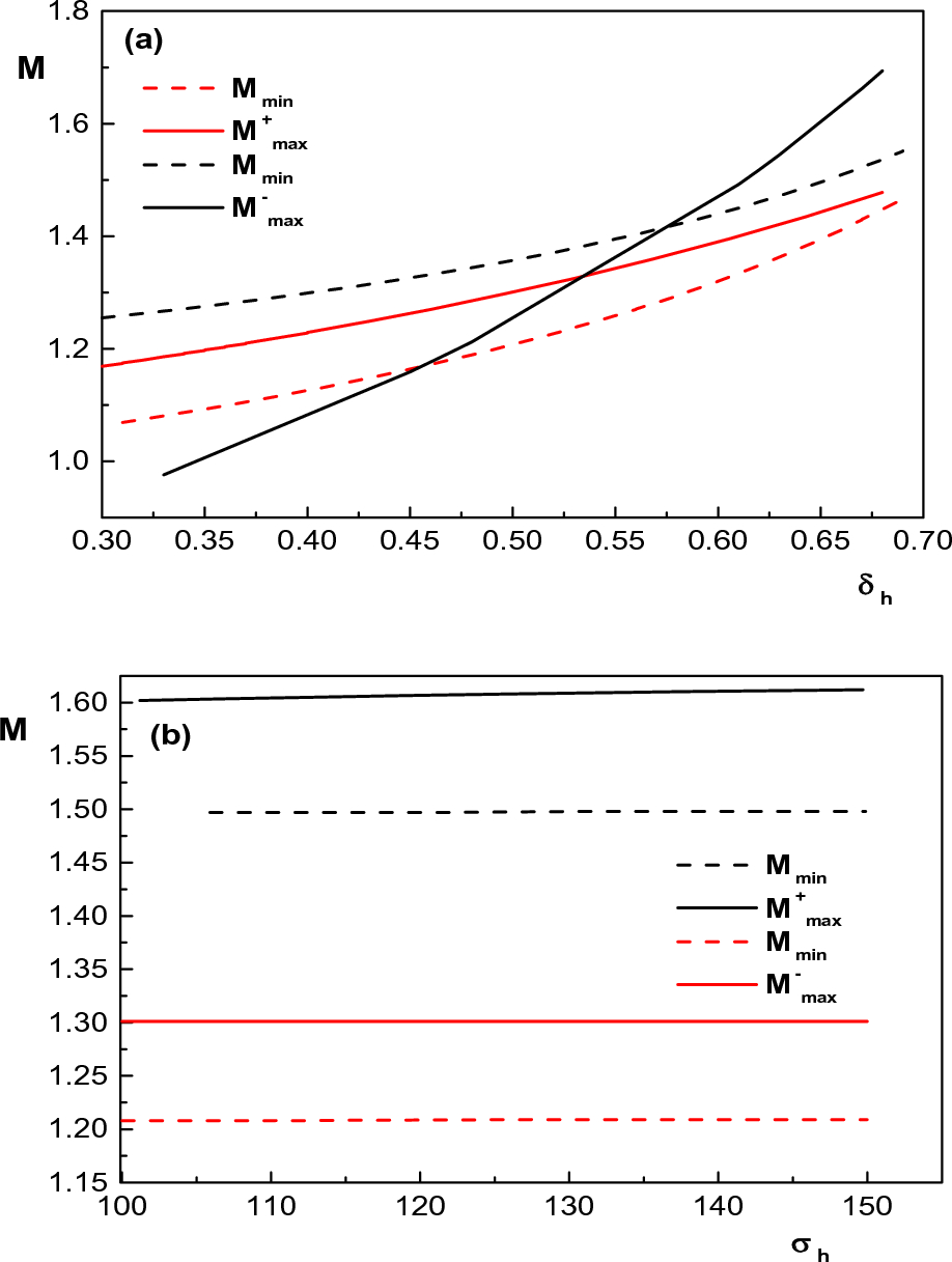
Variation of lower and upper limits of Mach number with (a) concentration of hot electrons for \(\kappa _h=5\), \(\kappa _c=2.9\), \(\sigma _i=0.1\) (red curves) and \(\kappa _h=4\), \(\kappa _c=2.4\), \(\sigma _i=0.3\) (black curves) and (b) temperature of hot electrons for \(\kappa _h=5\), \(\kappa _c=2.9\), \(\sigma _i=0.1\), \(\delta _h =0.5\) (red curves) and \(\kappa _h=5\), \(\kappa _c=2.4\), \(\sigma _i=0.3\), \(\delta _h =0.65\) (black curves). Other parameters are \(u_{0b}= 0.05\), \(\mu =1836\), \(\sigma _b=1\), \(\delta _b=0.001\) and \(\sigma _h=100\) (for (a)).