Figure 8
From: Electron beam driven ion-acoustic solitary waves in plasmas with two kappa-distributed electrons

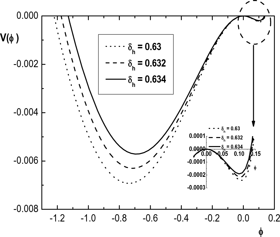
Variation of Sagdeev pseudopotential \(V(\phi )\) with \(\phi\) for \(\kappa _h=4\), \(\kappa _c=2.4\), \(u_{0b}= 0.05\), \(\mu =1836\), \(\delta _b=0.001\), \(\sigma _h=100\), \(\sigma _i=0.3\), \(\sigma _b=1\), \(M=1.52\) and different values of \(\delta _h\).