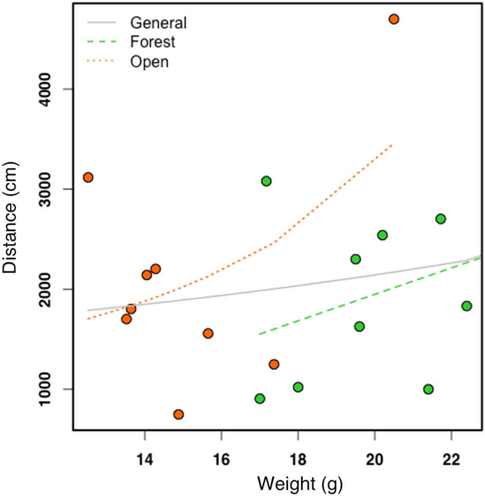
Figure 7

Relationship between distance traveled and weight of the individuals from ponds inside the forest and ponds in open areas.

Relationship between distance traveled and weight of the individuals from ponds inside the forest and ponds in open areas.