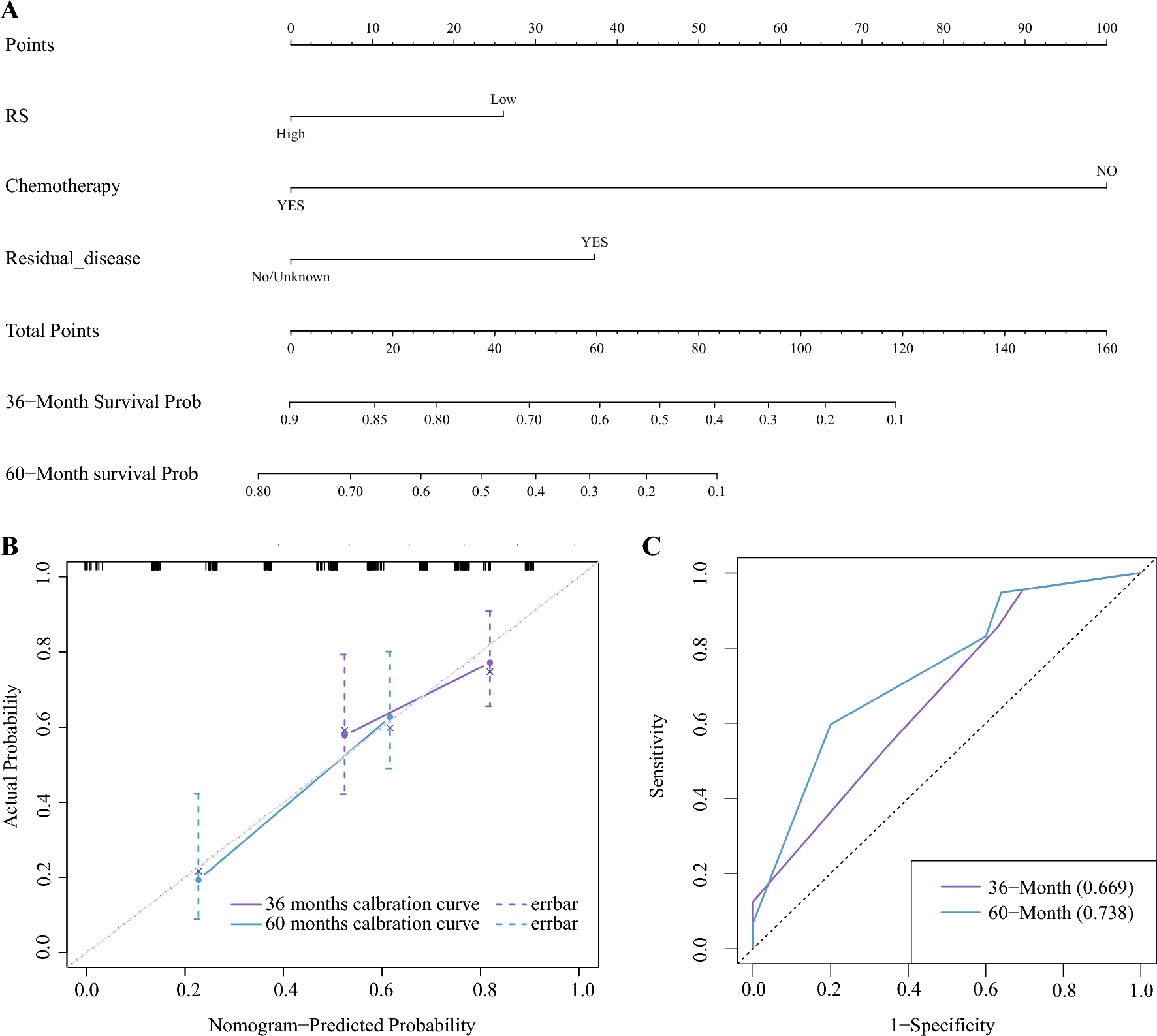
Figure 10

Nomogram and model evaluation. (A) A radiomic nomogram combining the radiomic characteristic from computed tomography images to predict the OS of a patient with HGSOC. (B) Calibration curve of the radiomic nomogram. The blue and purple solid lines show how the nomogram performed, while the diagonal dotted line represents an ideal evaluation. A better evaluation is indicated by a closer fit to the dotted diagonal line. (C) The time-dependent ROC curves analysis.