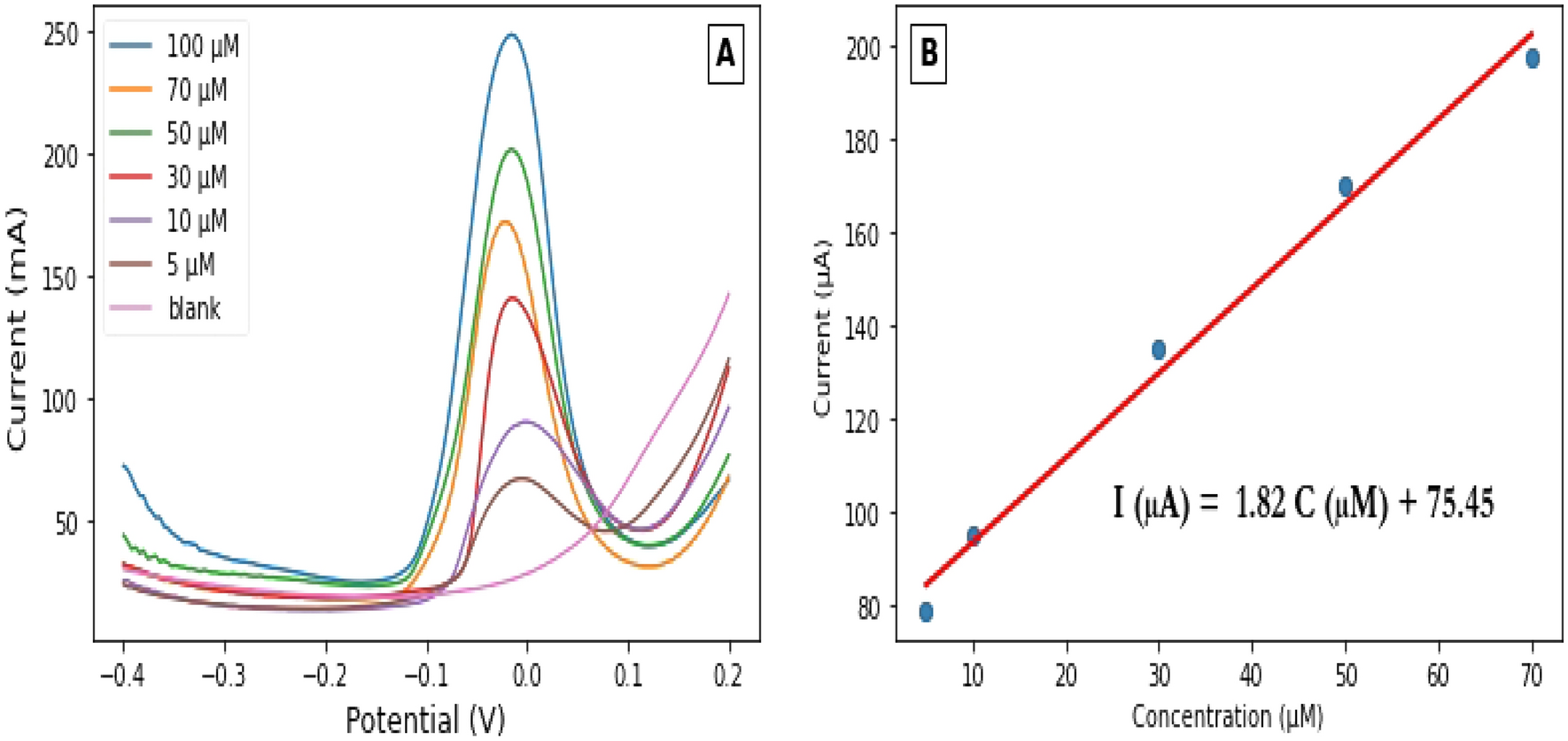
Figure 5

(A) Square wave voltammograms of Ag/pAAQ/MWCNTs/CPE into a solution of 0.1 M NasSO4 for different concentrations of NH4+ with square wave frequency of 5 Hz, square wave amplitude of 25 mV and step potential of 1 mV. (B) the calibration plot for the peak current in µA versus the concentration in µM with the insert the linear regression equation and R2 value. Error bar n = 5.